Matriz Flashcards

(35 cards)

1
Q

Podemos considerar a matriz uma tabela ?

A

Verdadeiro. Devemos lembrar que podemos organizar informações de tabelas em formato de matriz.

How well did you know this?
1
Not at all
2
3
4
5
Perfectly
2
Q

Em uma matriz o que significa essa representação ?

A
How well did you know this?
1
Not at all
2
3
4
5
Perfectly
3
Q

O que é uma matriz quadrada ?

A

Uma matriz quadrada é uma matriz que possui o mesmo número de linhas e colunas.

How well did you know this?
1
Not at all
2
3
4
5
Perfectly
4
Q

Uma matriz quadrada possui uma diagonal principal e uma diagonal secundária ?

A

Verdadeiro.

How well did you know this?
1
Not at all
2
3
4
5
Perfectly
5
Q

Qual é a representação de uma matriz transposta ?

A
How well did you know this?
1
Not at all
2
3
4
5
Perfectly
6
Q

Em uma matriz transposta as linhas da matriz original se transformam em colunas e as colunas se transformam em linhas ?

A

Verdadeiro.

How well did you know this?
1
Not at all
2
3
4
5
Perfectly
7
Q

Para existir uma matriz transposta é necessário que antes exista uma matriz original ?

A

Verdadeiro.

How well did you know this?
1
Not at all
2
3
4
5
Perfectly
8
Q

O que é uma matriz oposta ?

A

Uma matriz oposta consiste em inverter o sinal dos elementos da matriz original.

How well did you know this?
1
Not at all
2
3
4
5
Perfectly
9
Q

Uma matriz oposta pode ser representada desta forma:

A

Falso, tal representação é de uma matriz inversa. A representação de uma matriz oposta deve vir acompanhada por um sinal negativo.

How well did you know this?
1
Not at all
2
3
4
5
Perfectly
10
Q

Uma matriz nula é aquela em que todos os seus elementos são 0 ?

A

Verdadeiro.

How well did you know this?
1
Not at all
2
3
4
5
Perfectly
11
Q

No que consiste uma matriz simétrica ?

A

Uma matriz simétrica é aquela em que a matriz transposta é igual à matriz original.

How well did you know this?
1
Not at all
2
3
4
5
Perfectly
12
Q

Uma matriz identidade pode ser representada pela letra I ?

A

Verdadeiro.

How well did you know this?
1
Not at all
2
3
4
5
Perfectly
13
Q

Uma matriz identidade é aquela em que os elementos da sua diagonal principal são todos 0 ?

A

Falso, uma matriz identidade é aquela em que os seus elementos se alteram entre os número 0 e 1 e os elementos da sua diagonal principal são todos 1.

How well did you know this?
1
Not at all
2
3
4
5
Perfectly
14
Q

Uma matriz identidade é sempre uma matriz quadrada ?

A

Verdadeiro.

How well did you know this?
1
Not at all
2
3
4
5
Perfectly
15
Q

Podemos realizar divisão de matrizes ?

A

Falso, não existe divisão de matrizes. Devemos lembrar que não existe divisão de matrizes, entretanto, podemos multiplicar matrizes.

How well did you know this?
1
Not at all
2
3
4
5
Perfectly
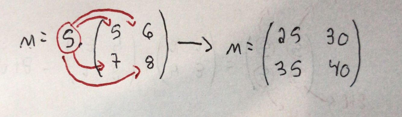
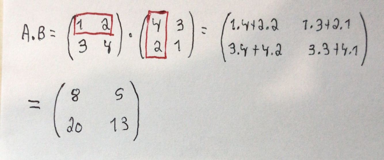
16
Q

Como podemos realizar a multiplicação das matrizes a seguir:

A

Devemos lembrar que em multiplicação de matrizes devemos multiplicar as linhas da primeira pelas colunas da segunda.

17
Q

Como podemos realizar a soma das matrizes abaixo ?

A

Para realizarmos a soma de matrizes basta somar os elementos de mesma posição entre as matrizes.

18
Q

Para que seja possível a soma entre matrizes é necessário que ambas possuam o mesmo número de linhas e colunas ?

19
Q

Uma subtração de matrizes é feita do mesmo jeito que a soma de matrizes, entretanto o sinal é negativo ?

20
Q

Resolva a seguinte equação:

21
Q

Resolva a seguinte equação :

22
Q

O símbolo abaixo representa qual tipo de matriz ?

A

Matriz inversa.

23
Q

Para que exista a inversa de uma matriz, a determinante da matriz original deve ser diferente de 0 ?

24
Q

No que consiste uma matriz inversa ?

A

“O produto da matriz original pela a sua inversa é igual a matriz identidade de mesma ordem da matriz original”.

25
Resolva o problema a seguir:
26
A propriedade comutativa dos produtos também é valida para o produto entre matrizes ?
Falso, devemos lembra que a propriedade comutativa não se aplica para o produto entre matrizes.
27
28
A propriedade comutativa se aplica às matrizes ?
Falso, a propriedade comutativa não se aplica às matrizes.
29
Como poderíamos resolver o quadrado da soma de duas matrizes ?
Obs: devemos lembrar que a propriedade comutativa aplicada aos números não se aplica às matrizes, desta forma, no quadrado da soma de matrizes, devemos realizar uma distributiva entre os elementos, pois AB e BA são diferentes e não podem ser somados resultando em 2AB.
30
No que consiste a propriedade associativa das matrizes ?
31
Caso um produto entre matrizes resulte em zero, isso significa que pelo menos uma das matrizes é nula ?
32
Uma matriz multiplicada por uma matriz nula resulta em uma matriz não nula ?
Falso, uma matriz multiplicada por uma matriz nula resulta em outra matriz nula.
33
Uma matriz multiplicada pela matriz identidade resulta em uma matriz nula ?
Falso, uma matriz multiplicada pela matriz identidade resulta na própria matriz original.
34
Qual a condição necessária para uma matriz ser inversível ?
Para uma matriz ser inversível, sua determinante tem que ser diferente de zero
35
Qual o nome da matriz que apresenta determinante igual a zero ?
Matriz singular.