PA e PG Flashcards

(8 cards)

1
Q

Qual a fórmula do termo geral de uma PA ?

A
How well did you know this?
1
Not at all
2
3
4
5
Perfectly
2
Q

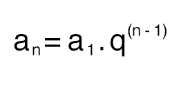
Qual a fórmula do termo geral de uma PG ?

A
How well did you know this?
1
Not at all
2
3
4
5
Perfectly
3
Q

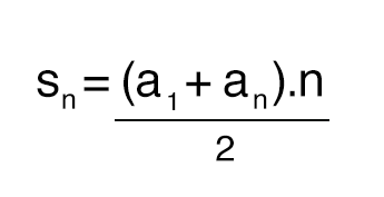
Qual a fórmula da soma de uma PA ?

A
How well did you know this?
1
Not at all
2
3
4
5
Perfectly
4
Q

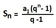
Qual a fórmula da soma de PG ?

A
How well did you know this?
1
Not at all
2
3
4
5
Perfectly
5
Q

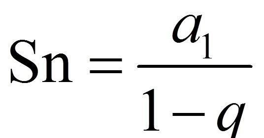
Qual a fórmula da soma de PG infinita ?

A
How well did you know this?
1
Not at all
2
3
4
5
Perfectly
6
Q

Uma soma de PG infinita é sempre crescente ?

A

Falso, uma soma de PG é sempre decrescente.

How well did you know this?
1
Not at all
2
3
4
5
Perfectly
7
Q

Em uma PA (a,b,c) a+c = 2b

A

Verdadeiro.

How well did you know this?
1
Not at all
2
3
4
5
Perfectly
8
Q

Em uma PG (a,b,c) a.c = b^3

A

Falso, a.c = b^2

How well did you know this?
1
Not at all
2
3
4
5
Perfectly