Tipos de função Flashcards

(31 cards)

1
Q

Quais são os tipos de função que estudamos ?

A
  • Injetora
  • Sobrejetora
  • Bijetora
  • Inversível
How well did you know this?
1
Not at all
2
3
4
5
Perfectly
2
Q

Para uma função ser inversível ela deve necessariamente ser injetora e sobrejetora, ou seja, bijetora ?

A

Verdadeiro.

How well did you know this?
1
Not at all
2
3
4
5
Perfectly
3
Q

No que consiste um função injetora ?

A

Em uma função injetora cada domínio possui uma imagem exclusiva, ou seja, domínios diferentes não podem ter imagens iguais.

How well did you know this?
1
Not at all
2
3
4
5
Perfectly
4
Q

O que é o domínio de uma função ?

A

Podemos dizer que o domínio de uma função é a sua variável, ou seja, o X presente no f(x).

How well did you know this?
1
Not at all
2
3
4
5
Perfectly
5
Q

O que é a imagem de uma função ?

A

A imagem de uma função corresponde ao valor de f(x) de uma função, ou seja, o Y.

How well did you know this?
1
Not at all
2
3
4
5
Perfectly
6
Q

No que consiste uma função sobrejetora ?

A

Em uma função sobrejetora o contradomínio é igual à imagem.

How well did you know this?
1
Not at all
2
3
4
5
Perfectly
7
Q

Uma função bijetora é aquela que é ao mesmo tempo injetora e sobrejetora ?

A

Verdadeiro.

How well did you know this?
1
Not at all
2
3
4
5
Perfectly
8
Q

Qual o tipo de função da imagem abaixo ?

A

Função sobrejetora, note que neste caso todos os elementos do contradomínio fazem parte da imagem.

How well did you know this?
1
Not at all
2
3
4
5
Perfectly
9
Q

Qual o nome do conjunto denominado de A e do conjunto denominado de B na imagem abaixo ?

A

A: domínio
B: contradomínio

How well did you know this?
1
Not at all
2
3
4
5
Perfectly
10
Q
A

a) Bijetora
b) Injetora
c) Sobrejetora
d) Bijetora
e) Injetora

How well did you know this?
1
Not at all
2
3
4
5
Perfectly
11
Q
A

Alternativa C.
Obs: note que em I temos uma função de segundo grau, portanto tal função possui duas raízes, ou seja, dois valores de X para qual Y é zero, portanto temos dois domínios distintos com uma mesma imagem, logo tal função não pode ser inversível, pois não é injetora e consequentemente não é bijetora.

How well did you know this?
1
Not at all
2
3
4
5
Perfectly
12
Q
A

Devemos lembrar que para obtemos um função inversa basta substituirmos o X por Y e o Y por X na função original e após isso isolar o novo Y.

How well did you know this?
1
Not at all
2
3
4
5
Perfectly
13
Q
A

Alternativa A.

How well did you know this?
1
Not at all
2
3
4
5
Perfectly
14
Q

O contradomínio é a mesma coisa que imagem ?

A

Falso, contradomínio não é a mesma coisa que imagem.

How well did you know this?
1
Not at all
2
3
4
5
Perfectly
15
Q

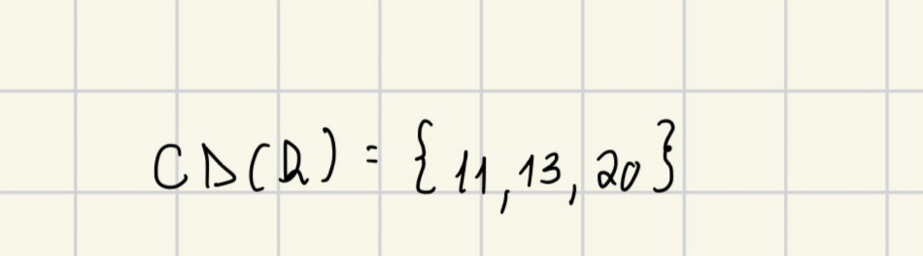
Determine o contradomínio da função abaixo.

A

O contradomínio consiste no conjunto de chegada.

How well did you know this?
1
Not at all
2
3
4
5
Perfectly
16
Q

Determine o domínio da função abaixo.

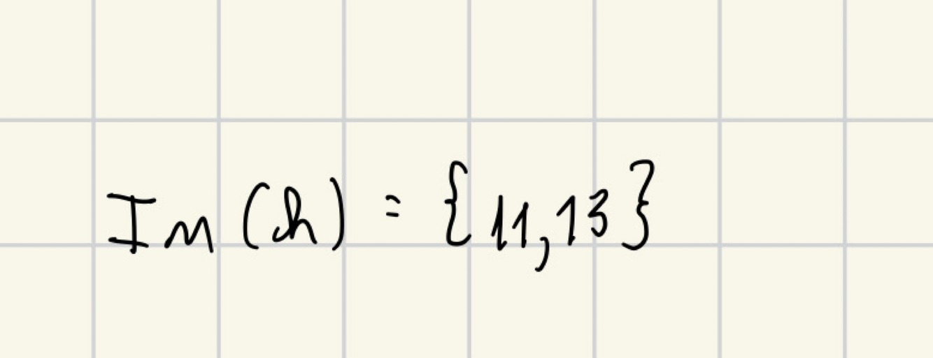
17
Q

Determine a imagem da função abaixo.

18
Q

Podemos dizer que o contradomínio é como se fosse um “recipiente gigante” onde as setas do domínio irão chegar ?

19
Q

O contradomínio fica dentro da imagem ?

A

Falso, a imagem fica dentro do contradomínio.

20
Q

A imagem abaixo representa uma função ?

A

Falso, na imagem não está representada uma função, pois em uma função todos os valores do domínio devem ter um valor no contradomínio, desta forma concluímos que os números do domínio não podem ficar sozinhos.

21
Q

Na imagem abaixo temos uma função ?

A

Falso, na imagem não temos uma função, pois em uma função o mesmo valor de domínio não pode te mais de um correspondente no contradomínio, ou seja, um mesmo domínio não pode ter diferentes imagens.

22
Q

Em uma função, diferentes domínios podem apresentar a mesma imagem no contradomínio ?

24
Q

A função de cosseno é um exemplo de função par ?

25
Caracterize as duas funções abaixo como sendo par ou ímpar.
26
O conjunto imagem de uma função inversível é igual ao domínio da inversa ?
Verdadeiro.
27
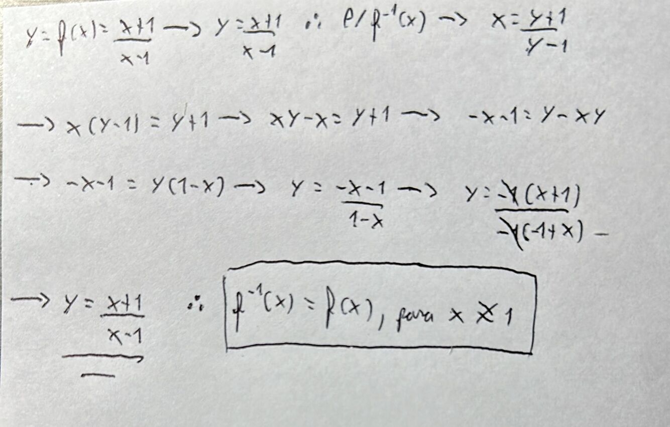
Dado que a função abaixo é bijetora, ou seja, é inversível, obtenha a sua inversa.
Obs: devemos lembrar que a imagem de uma função inversível é igual ao domínio da função inversa.
28
Resolva o exercício da imagem abaixo, porém, faça de uma maneira sem achar a equação da função inversa.
Como sabemos que o domínio da função inversa é a imagem da função original, podemos simplesmente substituir o valor de 3 da inversa (seu valor de x) na imagem da original ( no lugar de seu y).
29
Qual macete podemos utilizar para acharmos o gráfico de uma função inversa ?
Devemos sempre lembrar que o gráfico de uma função inversa é o espelhamento do gráfico da função original, desta forma, basta traçarmos um eixo de simetria no gráfico para acharmos o desenho da inversa.
30
Letra C Obs: Devemos sempre lembrar de traçarmos um eixo de simetria para acharmos o gráfico de uma função inversa.
31
Alternativa A.