Números complexos Flashcards

(19 cards)

1
Q

Quais são as ordens dos números ?

A

Naturais, inteiros, racionais, irracionais e complexos.

How well did you know this?
1
Not at all
2
3
4
5
Perfectly
2
Q

Qual a forma algébrica de um número complexo ?

A

Z = a + bi

a (parte real do número)
b (parte imaginária do número)

How well did you know this?
1
Not at all
2
3
4
5
Perfectly
3
Q

Quando um número é imaginário puro a = 0.

A

Verdadeiro.

How well did you know this?
1
Not at all
2
3
4
5
Perfectly
4
Q

Quando um número é real b = 0.

A

Verdadeiro.

How well did you know this?
1
Not at all
2
3
4
5
Perfectly
5
Q

Um número complexo pode ser escrito de maneira algébrica e de maneira trigonométrica ?

A

Verdadeiro.

How well did you know this?
1
Not at all
2
3
4
5
Perfectly
6
Q

Quanto vale i ?

A
How well did you know this?
1
Not at all
2
3
4
5
Perfectly
7
Q

Qual a fórmula de um número complexo conjugado ?

A

Devemos inverter o sinal da parte imaginária.

How well did you know this?
1
Not at all
2
3
4
5
Perfectly
8
Q

Quando um número complexo é imaginário puro, o seu número imaginário será igual a zero ?

A

Falso, um número complexo imaginário puro possui o seu número real é igual a zero e seu número imaginário diferente de zero.

How well did you know this?
1
Not at all
2
3
4
5
Perfectly
9
Q

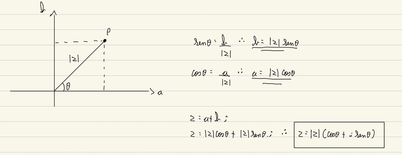
O que é o módulo de um número complexo ?

A

O módulo de um número complexo é a distância do afixo até a origem em um plano cartesiano.

How well did you know this?
1
Not at all
2
3
4
5
Perfectly
10
Q

Qual a fórmula do módulo de um número complexo ?

A
How well did you know this?
1
Not at all
2
3
4
5
Perfectly
11
Q

Qual é o outro nome que o módulo de Z pode receber ?

A

p (rô)

How well did you know this?
1
Not at all
2
3
4
5
Perfectly
12
Q

O que é o argumento de um número complexo ?

A

O argumento de um número complexo é o ângulo teta.

How well did you know this?
1
Not at all
2
3
4
5
Perfectly
13
Q

como calcular o argumento de um número complexo ?

A

Podemos calcular o argumento de um número complexo por meio do sen e cos de teta (trigonometria pelo triângulo retângulo no plano cartesiano).

How well did you know this?
1
Not at all
2
3
4
5
Perfectly
14
Q

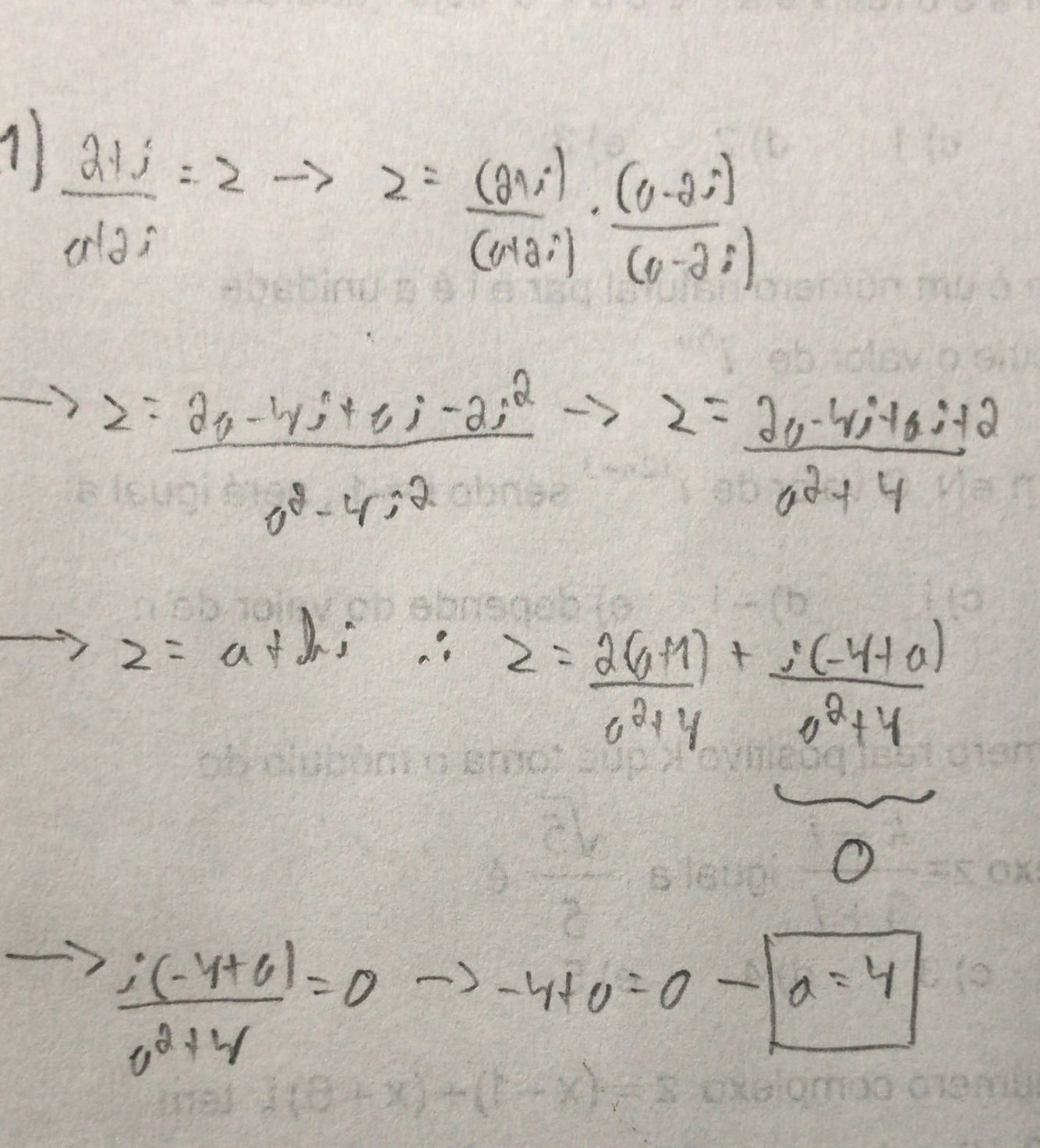
Como podemos resolver o exercício abaixo ?

A
  • Devemos multiplicar o número complexo por 1, ou seja, pelo conjugado do divisor.
  • Após isso devemos colocar o número complexo em sua forma algébrica.
  • Como o número complexo em questão é real, devemos igualar a parte imaginária a zero.
How well did you know this?
1
Not at all
2
3
4
5
Perfectly
15
Q

Ao representarmos um número complexo em um plano cartesiano, o eixo das abscissas (eixo x) será o eixo real do número complexo ?

A

Verdadeiro.

How well did you know this?
1
Not at all
2
3
4
5
Perfectly
16
Q

Qual é o eixo imaginário de um número complexo em um plano cartesiano ?

A

Eixo das ordenadas (eixo y).

17
Q

Faça uma tabela com a unidade imaginária “i” elevada até a décima potência.

A

Obs: devemos lembrar que não iremos considerar o i^0 em nossos cálculos, por isso não devemos incluir ele na tabela.

18
Q

Escreva a forma algébrica do número complexo utilizando o seu módulo.

19
Q

Quais os argumentos dos números complexos representados abaixo ?

A

Obs: devemos lembrar que o sentido de rotação em uma circunferência trigonométrica é anti-horário.