Module 6 Test Flashcards

(19 cards)

1
Q

speed is defined as the ratio of the distance an object moves to what?

A

the amount of time needed to travel the distance

How well did you know this?
1
Not at all
2
3
4
5
Perfectly
2
Q

How do you calculate average speed?

A

add the total distance and divide by the total time

How well did you know this?
1
Not at all
2
3
4
5
Perfectly
3
Q

What does a horizontal (flat) line on a distance-time graph mean?

A

the object is at rest

How well did you know this?
1
Not at all
2
3
4
5
Perfectly
4
Q

What is the acceleration of an object that moves with a constant velocity?

A

zero

How well did you know this?
1
Not at all
2
3
4
5
Perfectly
5
Q

a point against which direction is measured

A

reference point

How well did you know this?
1
Not at all
2
3
4
5
Perfectly
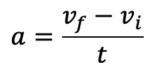
6
Q

How do you calculate acceleration?

A
How well did you know this?
1
Not at all
2
3
4
5
Perfectly
7
Q

the time rate of change of an object’s velocity

A

acceleration

How well did you know this?
1
Not at all
2
3
4
5
Perfectly
8
Q

measurement that has a distance unit divided by a time unit

A

speed

How well did you know this?
1
Not at all
2
3
4
5
Perfectly
9
Q

What does the slope of a speed-time graph indicate?

A

acceleration

How well did you know this?
1
Not at all
2
3
4
5
Perfectly
10
Q

a distance unit divided by a time unit and directional information

A

velocity

How well did you know this?
1
Not at all
2
3
4
5
Perfectly
11
Q

What does the slope of a distance-time graph indicate

A

speed

How well did you know this?
1
Not at all
2
3
4
5
Perfectly
12
Q

the distance an object travels plus the direction from the starting point

A

displacement

How well did you know this?
1
Not at all
2
3
4
5
Perfectly
13
Q

a physical measurement that contains only magnitude (number) and does not contain directional information

A

scalar quantity

How well did you know this?
1
Not at all
2
3
4
5
Perfectly
14
Q

Displacement is a vector quantity, so to combine them you must use ___.

A

vector addition

How well did you know this?
1
Not at all
2
3
4
5
Perfectly
15
Q

How do you calculate relative velocity?

A

subtract the velocities

How well did you know this?
1
Not at all
2
3
4
5
Perfectly
16
Q

a physical measurement that contains both magnitude (number) and directional information

A

vector quantity

17
Q

How do you calculate velocity?

A

distance divided by time and always include the direction

18
Q

unit of measurement with directional information

19
Q

a distance unit divided by a time unit squared with directional information