Module 7 Test Flashcards

(16 cards)

1
Q

State Newton’s second law of motion

A

When an object is acted on by one or more unbalanced forces, the total net force is equal to the mass of the object times the resulting acceleration

How well did you know this?
1
Not at all
2
3
4
5
Perfectly
2
Q

State Newton’s third law of motion

A

For every action, there is an equal and opposite reaction

How well did you know this?
1
Not at all
2
3
4
5
Perfectly
3
Q

What is the formula for kinetic frictional force

A
How well did you know this?
1
Not at all
2
3
4
5
Perfectly
4
Q

State Newton’s first law of motion

A

An object in motion (or at rest) will tend to stay in motion (or at rest) until acted upon by an unbalanced force.

How well did you know this?
1
Not at all
2
3
4
5
Perfectly
5
Q

What is the weakest of the fundamental forces?

A

gravitational force

How well did you know this?
1
Not at all
2
3
4
5
Perfectly
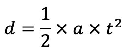
6
Q

What is the formula for distance of a falling object?

A
How well did you know this?
1
Not at all
2
3
4
5
Perfectly
7
Q

Which of Newton’s laws is sometimes called the law of inertia?

A

Newton’s first law

How well did you know this?
1
Not at all
2
3
4
5
Perfectly
8
Q

the tendency of an object to resist changes in its velocity

A

inertia

How well did you know this?
1
Not at all
2
3
4
5
Perfectly
9
Q

a force that opposes motion, resulting from the contact of two surfaces

A

friction

How well did you know this?
1
Not at all
2
3
4
5
Perfectly
10
Q

A change in what affects the weight of an object

A

acceleration due to gravity

How well did you know this?
1
Not at all
2
3
4
5
Perfectly
11
Q

__ opposes the motion of stationary objects

A

static frictions

How well did you know this?
1
Not at all
2
3
4
5
Perfectly
12
Q

friction that opposes motion once the motion has already started

A

kinetic friction

How well did you know this?
1
Not at all
2
3
4
5
Perfectly
13
Q

What force holds the nucleus of atoms together?

A

strong nuclear force

How well did you know this?
1
Not at all
2
3
4
5
Perfectly
14
Q

friction that opposes the initiation of motion

A

static fraction

How well did you know this?
1
Not at all
2
3
4
5
Perfectly
15
Q

What is the formula for force?

A
How well did you know this?
1
Not at all
2
3
4
5
Perfectly
16
Q

for every action force there is a __

A

reaction force