Module 9 Test Flashcards

(14 cards)

1
Q

In a transverse wave, how does the medium vibrate?

A

at right angles to the wave direction

How well did you know this?
1
Not at all
2
3
4
5
Perfectly
2
Q

What happens to wavelengths when the frequency is lower?

A

they get longer

How well did you know this?
1
Not at all
2
3
4
5
Perfectly
3
Q

Do sound waves oscillate parallel or perpendicular to the direction in which the wave travels?

A

parallel

How well did you know this?
1
Not at all
2
3
4
5
Perfectly
4
Q

What is the formula for the speed of sound?

A
How well did you know this?
1
Not at all
2
3
4
5
Perfectly
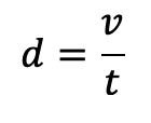
5
Q

What is the formula for distance using sound

A
How well did you know this?
1
Not at all
2
3
4
5
Perfectly
6
Q

Why is the slogan, “In space, no one can hear you scream.” true?

A

there is little to no air in space and sound waves cannot travel

How well did you know this?
1
Not at all
2
3
4
5
Perfectly
7
Q

What happens to frequency if the wavelength is doubled?

A

its halved

How well did you know this?
1
Not at all
2
3
4
5
Perfectly
8
Q

a wave that travels along the survace of a medium

A

surface wave

How well did you know this?
1
Not at all
2
3
4
5
Perfectly
9
Q

any speed that is faster than the speed of sound in the medium of interest

A

supersonic speed

How well did you know this?
1
Not at all
2
3
4
5
Perfectly
10
Q

a disturbance in matter that transfers energy through the matter

A

mechanical wave

How well did you know this?
1
Not at all
2
3
4
5
Perfectly
11
Q

a wave in which the vibration of the medium is parallel to the direction the wave travels

A

longitudinal wave

How well did you know this?
1
Not at all
2
3
4
5
Perfectly
12
Q

What is the formula for frequency of a sound wave.

A
How well did you know this?
1
Not at all
2
3
4
5
Perfectly
13
Q

an indication of how high or low a sound is, which is primarily determined by the frequency of the sound wave

A

pitch

How well did you know this?
1
Not at all
2
3
4
5
Perfectly
14
Q

a wave in which the medium vibrates at right angles to the direction the wave travels

A

transverse wave

How well did you know this?
1
Not at all
2
3
4
5
Perfectly