Module 8 Test Flashcards

(22 cards)

1
Q

What does the power of a machine mesaure?

A

its rate of doing work

How well did you know this?
1
Not at all
2
3
4
5
Perfectly
2
Q

Describe two ways a machine can make work easier for you.

A

by increasing or magnifying the force you apply; by changing the direction of your force

How well did you know this?
1
Not at all
2
3
4
5
Perfectly
3
Q

Work is done when what takes place?

A

force and motion are in the same direction

How well did you know this?
1
Not at all
2
3
4
5
Perfectly
4
Q

What type of machine is a ramp?

A

inclined plan

How well did you know this?
1
Not at all
2
3
4
5
Perfectly
5
Q

What is the formula for gravitational potential energy?

A
How well did you know this?
1
Not at all
2
3
4
5
Perfectly
6
Q

An ax is an example of what type of simple machine?

A

wedge

How well did you know this?
1
Not at all
2
3
4
5
Perfectly
7
Q

Knowing the input distance and the output distance of a machine, allows you to calculate what?

A

ideal mechanical advantage

How well did you know this?
1
Not at all
2
3
4
5
Perfectly
8
Q

What increases when an object becomes warmer?

A

thermal energy

How well did you know this?
1
Not at all
2
3
4
5
Perfectly
9
Q

What is the formula for work?

A
How well did you know this?
1
Not at all
2
3
4
5
Perfectly
10
Q

When is work not done?

A

when the force is not in the direction of the object’s motion

How well did you know this?
1
Not at all
2
3
4
5
Perfectly
11
Q

Name a unit of work

A

joule

How well did you know this?
1
Not at all
2
3
4
5
Perfectly
12
Q

What is the formula for power?

A
How well did you know this?
1
Not at all
2
3
4
5
Perfectly
13
Q

What is the energy that is stored due to position or shape called?

A

potential energy

How well did you know this?
1
Not at all
2
3
4
5
Perfectly
14
Q

Why is the efficiency of a machine always less than 100%?

A

some work input is lost to friction

How well did you know this?
1
Not at all
2
3
4
5
Perfectly
15
Q

Work can be defined as the transfer of?

A

energy

How well did you know this?
1
Not at all
2
3
4
5
Perfectly
16
Q

Give three statements according to the law of conservation of energy

A

energy cannot be created, energy cannot be destroyed, energy can be converted from one form to another

17
Q

What kind of energy is stored in gasoline?

A

chemical energy

18
Q

What is the SI unit of power?

19
Q

What is the formula for IMA?

20
Q

What does gravitational energy depend on?

A

its mass, the acceleration due to gravity, and its height relative to a reference level

21
Q

What is the formula for kinetic energy?

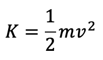
22
Q

What is the energy of motion called?

A

kinetic energy