Set 1 (base) Flashcards

(87 cards)

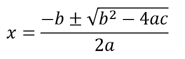
1
Q

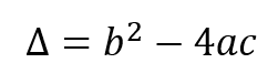
State the Quadratic formula

A
How well did you know this?
1
Not at all
2
3
4
5
Perfectly
2
Q

State the distance formula

A

d=

How well did you know this?
1
Not at all
2
3
4
5
Perfectly
3
Q
A
How well did you know this?
1
Not at all
2
3
4
5
Perfectly
4
Q

show f(x) when translated h units in the positive direction of the horizontal axis.

A

f(x-h)

How well did you know this?
1
Not at all
2
3
4
5
Perfectly
5
Q

State the rule for the function

A
How well did you know this?
1
Not at all
2
3
4
5
Perfectly
6
Q
A
How well did you know this?
1
Not at all
2
3
4
5
Perfectly
7
Q

log(a)+log(b)

A

log(ab)

How well did you know this?
1
Not at all
2
3
4
5
Perfectly
8
Q
A
How well did you know this?
1
Not at all
2
3
4
5
Perfectly
9
Q
A
How well did you know this?
1
Not at all
2
3
4
5
Perfectly
10
Q

quick sketch

A
How well did you know this?
1
Not at all
2
3
4
5
Perfectly
11
Q

value of discriminant when 2 solutions

A

> 0

greater than 0

How well did you know this?
1
Not at all
2
3
4
5
Perfectly
12
Q
A
How well did you know this?
1
Not at all
2
3
4
5
Perfectly
13
Q
A
How well did you know this?
1
Not at all
2
3
4
5
Perfectly
14
Q

If the gradient of 2 equations is the same and the y-int is the same how many solutions do they have?

A

infinite

How well did you know this?
1
Not at all
2
3
4
5
Perfectly
15
Q

State the rule for the function

A
How well did you know this?
1
Not at all
2
3
4
5
Perfectly
16
Q

state the formula for the discriminant

A
How well did you know this?
1
Not at all
2
3
4
5
Perfectly
17
Q
A
How well did you know this?
1
Not at all
2
3
4
5
Perfectly
18
Q

value of discriminant when 1 solution

A

= 0

How well did you know this?
1
Not at all
2
3
4
5
Perfectly
19
Q
A
How well did you know this?
1
Not at all
2
3
4
5
Perfectly
20
Q

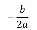
state the equation expression for the axis of symmetry

the axis of symmetry is a LINE and therefore has an equation

A

x=-b/2a

must be x=

How well did you know this?
1
Not at all
2
3
4
5
Perfectly
21
Q

State the rule for the function

A
How well did you know this?
1
Not at all
2
3
4
5
Perfectly
22
Q
A
How well did you know this?
1
Not at all
2
3
4
5
Perfectly
23
Q

value of discriminant when no solution

A

< 0

less than 0

How well did you know this?
1
Not at all
2
3
4
5
Perfectly
24
Q
A
How well did you know this?
1
Not at all
2
3
4
5
Perfectly
25
26
27
show f(x) when reflected in the vertical axis
f(-x)
28
show f(x) when dilated by a factor of a from the horizontal axis
af(x)
29
If the gradient of 2 equations is different, how many solutions do they have?
1
30
31
32
33
State the rule for the function
34
## Footnote asymptotes at x=0 and y=0
35
36
37
log(1) | base ANYTHING
0
38
How does the domain of the inverse relate to the original function?
It is equivalent to the range.
39
40
show f(x) when dilated by a factor of a from the vertical axis
f(x/a)
41
42
show f(x) when translated k units in the positive direction of the vertical axis.
f(x)+k
43
44
45
Formula to find the equation of a straight line.
46
quick sketch of the base graph (just 1 period)
47
# Simplify (assume same base) log(a)-log(b)
48
If the gradient of 2 equations is the same but different y-int how many solutions do they have?
0
49
show f(x) when reflected in the horizontal axis
-f(x)
50
51
52
53
State the rule for the function
54
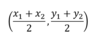
state the midpoint coordinate rule
55
State the rule for the function
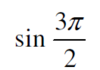
y=sin(x)
56
57
Quick sketch of base graph for y=e^x
## Footnote (this is the same as for any exponential graph in the form y=a^x, where a>1)
58
Quick sketch of base graph for y=ln(x)
## Footnote Note: this is the same as for any graph of y=log(x) for ANY base (eg, log2(x))
59
Quick sketch of y=x^3
## Footnote Note, same rough shape for the graph of any function y=x^(positive odd integer >1) eg: x^5, x^7, x^9...
60
Quick sketch of y=x^4
## Footnote Note, same rough shape for the graph of any function y=x^(positive even integer >1) eg: x^2, x^4, x^6...
61
## Footnote Note, same rough shape for the graph of any function y=x^(1/even positive integer) eg: x^1/2, x^1/4, x^1/6...
62
## Footnote Note, same rough shape for the graph of any function y=x^(1/even odd integer >1) eg: x^(1/3), x^(1/5), x^(1/7)...
63
## Footnote Note, same ROUGH shape for the graph of any function y=1/x^(odd integer >1) eg: 1/x^(3), 1/x^(5), 1/x^(7)...
64
## Footnote Note, same ROUGH shape for the graph of any function y=1/x^(even integer >1) eg: 1/x^2, 1/x^4, 1/x^6...
65
Formula for completing the square
66
67
68
69
70
domain of an inverse function =
range of the original function
71
range of an inverse function =
domain of the original function
72
"f(x) has an inverse" means...
f(x) is a one-to-one function | "one to one" is your annotation if this comes up in a question
73
the inverse of a log function is...
an exponential function
74
the inverse of an exponential function is...
a log function
75
76
77
Write in interval notation: R+
(0,ထ) | does NOT include 0
78
Write in interval notation: R-
(–ထ, 0)
79
What does "continuous" mean, in terms of the *values* related to the function
y value on LHS = y value on RHS or f(x) value on LHS = f(x) value on RHS (use a limit on one/both sides where undefined)
80
What does "smooth" mean, in terms of the *values* related to the function
dy/dx value on LHS = dy/dx value on RHS or f'(x) value on LHS = f'(x) value on RHS (use a limit on one/both sides where undefined)
81
82
83
84
85
Annotation for "minimum" in a question
86
Annotation for "maximum" in a question
87
Annotation for "Independent" in a probability question
Pr(A)* Pr(B)=Pr(AnB)