Set 7 Integration Flashcards

(6 cards)

1
Q
A
How well did you know this?
1
Not at all
2
3
4
5
Perfectly
2
Q
A
How well did you know this?
1
Not at all
2
3
4
5
Perfectly
3
Q

Write the equation for the “fundamental theorem of calculus”

A
How well did you know this?
1
Not at all
2
3
4
5
Perfectly
4
Q

Write the two versions of the formula for finding the average value of a function

A
How well did you know this?
1
Not at all
2
3
4
5
Perfectly
5
Q

Formula in words for the “mandatory line” (aka integration by recognition)

A
How well did you know this?
1
Not at all
2
3
4
5
Perfectly
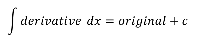
6
Q

Write this out and annotate which is the “derivative” and which is the “original”

A

This is VERY useful for “mandatory line” (integration by recognition) questions

How well did you know this?
1
Not at all
2
3
4
5
Perfectly