Set 8 Continuous Prob Flashcards

(4 cards)

1
Q

Annotation when you’re told “f(x) is a probability density function”

A

always write this- it’s often one of the “clues” you use in a question

How well did you know this?
1
Not at all
2
3
4
5
Perfectly
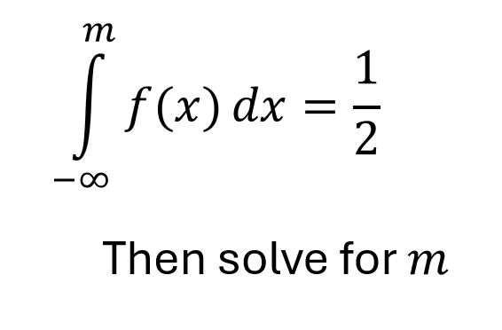
2
Q

Set up an equation to find the median, m, of a continuous probability density function f(x)

A
How well did you know this?
1
Not at all
2
3
4
5
Perfectly
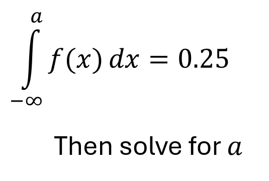
3
Q

Set up an equation to find the 25th percentile, a, of a continuous probability density function f(x)

A
How well did you know this?
1
Not at all
2
3
4
5
Perfectly
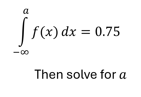
4
Q

Set up an equation to find the 75th percentile, a, of a continuous probability density function f(x)

A
How well did you know this?
1
Not at all
2
3
4
5
Perfectly