Set 2 (Circular functions) Flashcards

(62 cards)

1
Q

What is the Pythagorean Identity (for circular functions)?

A
How well did you know this?
1
Not at all
2
3
4
5
Perfectly
2
Q

Sketch a base y=sin⁡(x) graph over the domain -2π≤x≤2π

A
How well did you know this?
1
Not at all
2
3
4
5
Perfectly
3
Q

Sketch a base y=cos⁡(x) graph over the domain -2π≤x≤2π

A
How well did you know this?
1
Not at all
2
3
4
5
Perfectly
4
Q

Sketch a base y=tan⁡(x) graph over the domain -π/2≤x≤π/2

A
How well did you know this?
1
Not at all
2
3
4
5
Perfectly
5
Q

The gradient of the point of inflection of the graph of y=tan(x) at x=0 is?

A

1

How well did you know this?
1
Not at all
2
3
4
5
Perfectly
6
Q

A function f(x) is defined with a restricted domain. A function g(x) is also defined with a restrictied domain.
What will be the domain of the function defined by f(x)+g(x) is terms of the domains of f(x) and g(x)?

A

The domain of f(x)+g(x) will be where the domain of f(x) and g(x) intersect.

How well did you know this?
1
Not at all
2
3
4
5
Perfectly
7
Q

What is the general solution for a cos function?

A
How well did you know this?
1
Not at all
2
3
4
5
Perfectly
8
Q

What is the general solution for a sin function?

A
How well did you know this?
1
Not at all
2
3
4
5
Perfectly
9
Q

What is the general solution for a tan function?

A
How well did you know this?
1
Not at all
2
3
4
5
Perfectly
10
Q

What is the range of the function f(x)=cos(x)

A

[-1,1]

How well did you know this?
1
Not at all
2
3
4
5
Perfectly
11
Q

What is the range of the function f(x)=sin(x)

A

[-1,1]

How well did you know this?
1
Not at all
2
3
4
5
Perfectly
12
Q

What is the range of the function f(x)=tan(x)

A

all real values
R
(-∞, ∞)

How well did you know this?
1
Not at all
2
3
4
5
Perfectly
13
Q

the period of a tan function can be found by using the formula…

A

pi/n

How well did you know this?
1
Not at all
2
3
4
5
Perfectly
14
Q

the period of a cos function can be found using the formula….

A

2*pi/n

How well did you know this?
1
Not at all
2
3
4
5
Perfectly
15
Q

the period of a sin function can be found using the formula….

A

2*pi/n

How well did you know this?
1
Not at all
2
3
4
5
Perfectly
16
Q

What is the general formula for the sine function in terms of the unit circle?

A

sin(θ) = opposite/hypotenuse

How well did you know this?
1
Not at all
2
3
4
5
Perfectly
17
Q

True or False: The cosine function is defined as the adjacent side divided by the hypotenuse.

A

True

How well did you know this?
1
Not at all
2
3
4
5
Perfectly
18
Q

Fill in the blank: The Pythagorean identity states that sin²(θ) + _____²(θ) = 1.

A

cos

How well did you know this?
1
Not at all
2
3
4
5
Perfectly
19
Q

Which of the following is the correct formula for the tangent function? a) tan(θ) = sin(θ)/cos(θ) b) tan(θ) = cos(θ)/sin(θ)

A

a) tan(θ) = sin(θ)/cos(θ)

How well did you know this?
1
Not at all
2
3
4
5
Perfectly
20
Q

What is sin(0)?

A

0

How well did you know this?
1
Not at all
2
3
4
5
Perfectly
21
Q

What is sin(pi)?

A

0

How well did you know this?
1
Not at all
2
3
4
5
Perfectly
22
Q

What is sin(2pi)?

A

0

How well did you know this?
1
Not at all
2
3
4
5
Perfectly
23
Q

What is sin(pi/2)?

A

1

How well did you know this?
1
Not at all
2
3
4
5
Perfectly
24
Q

What is sin(3pi/2)?

A

-1

How well did you know this?
1
Not at all
2
3
4
5
Perfectly
25
What is cos(0)?
1
26
What is cos(pi/2)?
0
27
What is cos(pi)?
-1
28
What is cos(3pi/2)?
0
29
What is cos(2pi)?
1
30
What is tan (0)?
31
What is tan(pi/2)?
undefined (graph would have an asymptote there)
32
What is tan (pi)?
0
33
What is tan (3pi/2)?
undefined (graph would have an asymptote there)
34
What is tan (2pi)?
0
35
What does n∈Z mean in a general formula equation?
The value of n will take an integer value ie whole number positive and negative, including zero.
36
What is the rule for finding the asymptotes of a tan graph?
37
38
39
40
41
42
43
44
45
46
47
48
49
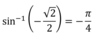
50
51
52
53
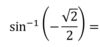
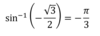
pi
54
55
56
57
58
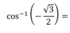
59
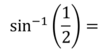
-pi/3
60
61
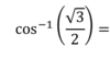
cos(aπ) where a is an odd number
-1 | eg cos(pi), cos (3pi)
62
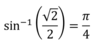
cos(aπ) where a is an even number ## Footnote (* means multiplication)
+1 | eg cos(0), cos(2pi), cos(4pi)