Week 2 Flashcards

(24 cards)

1
Q

Rate and order of convergence of a sequence x_k of a numerical approximation of some exact quantity x*

A

x_k converges with order q to x* if

(For rate of convergence 0<μ<inf)

How well did you know this?
1
Not at all
2
3
4
5
Perfectly
2
Q

If q = 1? What does this mean for μ?

A

q=1 means linearly convergent

This means we must have 0<μ<=1 for convergence otherwise sequence diverges

How well did you know this?
1
Not at all
2
3
4
5
Perfectly
3
Q

1 sublinear convergence

A

1=μ

q=1

How well did you know this?
1
Not at all
2
3
4
5
Perfectly
4
Q

1 súper linear convergence

A

q>=1 and μ=0

How well did you know this?
1
Not at all
2
3
4
5
Perfectly
5
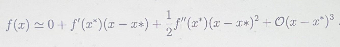
Q

Adjust Taylor series for f(x) for rate of convergence of newton method

A

Include quadratic term

How well did you know this?
1
Not at all
2
3
4
5
Perfectly
6
Q

Taylor series of Newton Method with quadratic

A

Two consecutive iterations

How well did you know this?
1
Not at all
2
3
4
5
Perfectly
7
Q

Rewrite Taylor series of newton method in terms of ε

A
How well did you know this?
1
Not at all
2
3
4
5
Perfectly
8
Q

Simplify ε Taylor expansion of newton method

A
How well did you know this?
1
Not at all
2
3
4
5
Perfectly
9
Q

Meaning of quadratic convergence in terms of error

A

Each successive ε reduces size of error by 2 orders of magnitude

How well did you know this?
1
Not at all
2
3
4
5
Perfectly
10
Q

ε Taylor’s expansion of newton method: double zero case

A
How well did you know this?
1
Not at all
2
3
4
5
Perfectly
11
Q

f(x) for Secant method formula

A
How well did you know this?
1
Not at all
2
3
4
5
Perfectly
12
Q

Secant q=?

A

(1+sqrt(5))/2

How well did you know this?
1
Not at all
2
3
4
5
Perfectly
13
Q

Find x_n using secant

A
How well did you know this?
1
Not at all
2
3
4
5
Perfectly
14
Q

Preferable value for q?

A

Higher

Eg: Newton > Secant

How well did you know this?
1
Not at all
2
3
4
5
Perfectly
15
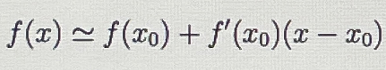
Q

Taylor expansion of f(x) about x_0

A
How well did you know this?
1
Not at all
2
3
4
5
Perfectly
16
Q

When is newton method useful

A

Approximating f(x) = 0

for small |x - x_0|

17
Q

Another way to think of quadratic convergence

A

When the number of exact digits doubles on each iteration

18
Q

Limitations of Newton method

A

Requires derivative
If choosing starting point such that f’(x_0) is close to zero, x_1 will be huge and it may not converge (or will converge ridiculously well)

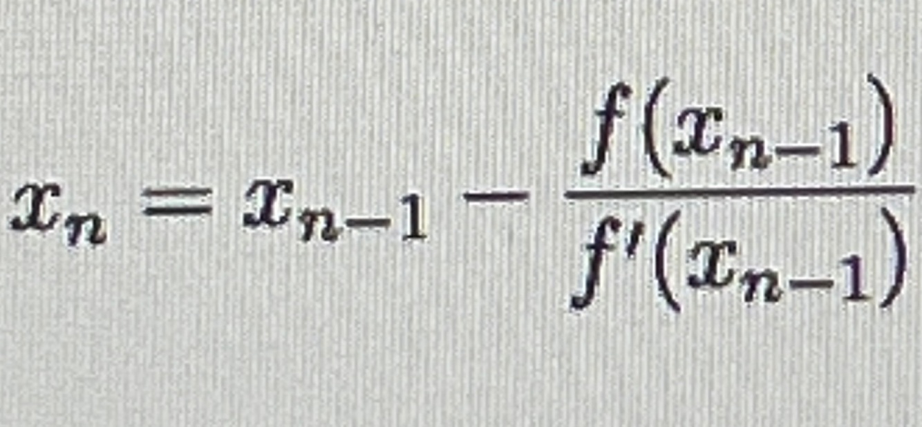
19
Q

Recursion relation for Newton method

20
Q

Draw diagram of Newton method labelling for 4 points

21
Q

Draw diagram of secant method with first 5 points

22
Q

Draw bisection method

23
Q

q= 1, μ =1

A

Sublinear convergence

24
Q

q>=1 and μ=0

A

1 super linear convergence