Week 3 Flashcards

(15 cards)

1
Q

What is double zero case

A

First 2 terms of Taylor series exp are zero

Because f(x) = 0 and f’(x) = 0

How well did you know this?
1
Not at all
2
3
4
5
Perfectly
2
Q

What is pip

A

Basic building block of Lagrange interpolation

They are fixed by: each polynomials of deg <=n

pi(xi) = 1
And pi(xj) = 0 for all j!=i

How well did you know this?
1
Not at all
2
3
4
5
Perfectly
3
Q

Lagrange interpolation formula

A

Where p_i(x) is pip

How well did you know this?
1
Not at all
2
3
4
5
Perfectly
4
Q

Linear ansatz in polynomial fit

A

Where f_i(x) is some predetermined basis of m+1 linearly independent functions

How well did you know this?
1
Not at all
2
3
4
5
Perfectly
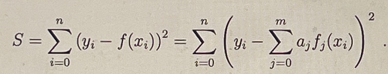
5
Q

Sum of squares of deviations for polynomial fit

A
How well did you know this?
1
Not at all
2
3
4
5
Perfectly
6
Q

Minimising S , polynomial fit

A

Find a_j for which S is minimal by requiring

How well did you know this?
1
Not at all
2
3
4
5
Perfectly
7
Q

Form system of linear equations for polynomial fit

A
How well did you know this?
1
Not at all
2
3
4
5
Perfectly
8
Q

For polynomial fit: if f_j(x) = x^j

A
How well did you know this?
1
Not at all
2
3
4
5
Perfectly
9
Q

What is polynomial approximation

A

Given a set of n points
Find the polynomial that best describes this data

There is always a unique polynomial of degree n which goes through all these points (assuming x_I are pairwise distinct)

How well did you know this?
1
Not at all
2
3
4
5
Perfectly
10
Q

Limitations of polynomial interpolation

A

Works well in middle of interpolation interval but often produces unwanted oscillations at ends

How well did you know this?
1
Not at all
2
3
4
5
Perfectly
11
Q

What are chebyshev points and how to use?

A

Effectively projecting cos function (from [-1,1]) taken at regular angles, onto x axis (rescaled to [a,b])

Therefore makes more densely populated at ends of interval

How well did you know this?
1
Not at all
2
3
4
5
Perfectly
12
Q

Formula for chebyshev points

A
How well did you know this?
1
Not at all
2
3
4
5
Perfectly
13
Q

Typical basis of functions for fitting data

A

fi(x) = xi

How well did you know this?
1
Not at all
2
3
4
5
Perfectly
14
Q

Idea behind fitting data

A

Taking a linear ansatz in some basis of linearly independent functions

We are trying to minimise the coefficients of this basis in the ansatz

How well did you know this?
1
Not at all
2
3
4
5
Perfectly
15
Q

What if m = n for fitting data

A

This means the basis of polynomials has as many base functions as there are points. Therefore produce exact interpolation

How well did you know this?
1
Not at all
2
3
4
5
Perfectly