Week 5 Flashcards

(18 cards)

1
Q

Equate quantity and approximation for Richardson

A
How well did you know this?
1
Not at all
2
3
4
5
Perfectly
2
Q

Richardson extrapolation formula

A
How well did you know this?
1
Not at all
2
3
4
5
Perfectly
3
Q

Apply Richardson extrapolation formula to ‘right difference approximation of derivative’

A
How well did you know this?
1
Not at all
2
3
4
5
Perfectly
4
Q

Local approximation through trapezoidal rule

A
How well did you know this?
1
Not at all
2
3
4
5
Perfectly
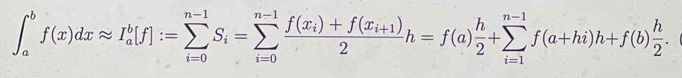
5
Q

Global approximation through trapezoidal rule

A
How well did you know this?
1
Not at all
2
3
4
5
Perfectly
6
Q

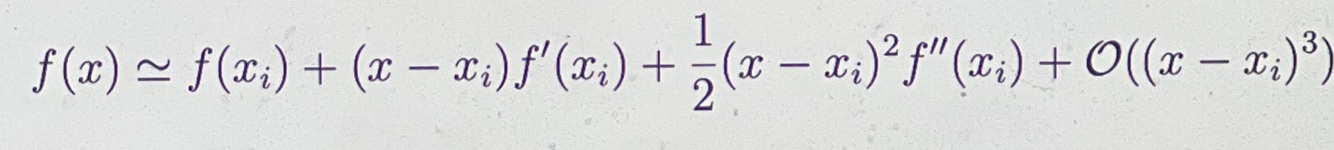
Taylor expansion of f(x) on interval [x_i, x_i + h]

A
How well did you know this?
1
Not at all
2
3
4
5
Perfectly
7
Q

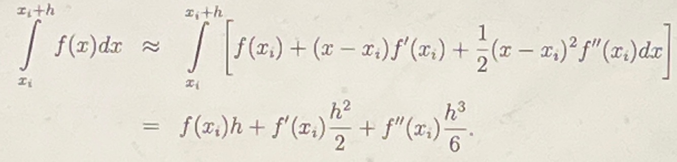
Taylor expansion of integral of f(x) on interval [x_i , x_i + h]

A
How well did you know this?
1
Not at all
2
3
4
5
Perfectly
8
Q

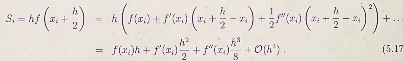
Midpoint rule local approximation

A
How well did you know this?
1
Not at all
2
3
4
5
Perfectly
9
Q

Midpoint rule local Taylor series

A
How well did you know this?
1
Not at all
2
3
4
5
Perfectly
10
Q

Simpson’s rule for [xi, xi+1]

A
How well did you know this?
1
Not at all
2
3
4
5
Perfectly
11
Q

General idea behind simpson rule

A
How well did you know this?
1
Not at all
2
3
4
5
Perfectly
12
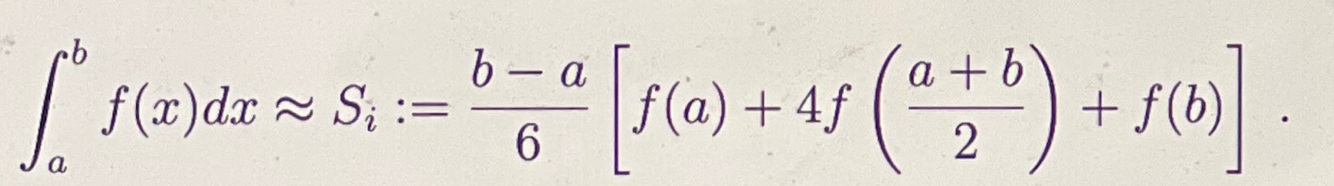
Q

Trapezoidal rule on interval Si ? And error?

A
How well did you know this?
1
Not at all
2
3
4
5
Perfectly
13
Q

Estimate of error for trapezoidal rule across an entire interval

A
How well did you know this?
1
Not at all
2
3
4
5
Perfectly
14
Q

When is trapezoidal approximation exact

A

When second deriv is zero everywhere
And therefore function is linear

How well did you know this?
1
Not at all
2
3
4
5
Perfectly
15
Q

Approximation error of midpoint rule (analytically)

A
How well did you know this?
1
Not at all
2
3
4
5
Perfectly
16
Q

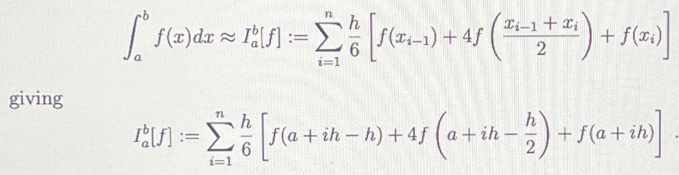
Simpson’s rule across the not small interval [a,b]

17
Q

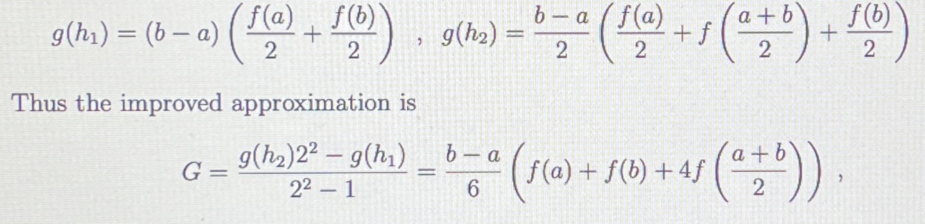
Derive Simpson’s rule

A

Using Richardson extrapolation on trapezoidal method

Setting h1 = b-a and h2 = (b-a)/2 = h1/2 (half interval)

p = 2

18
Q

Derive approximation error for Simpson’s rule

A

Expand f(x) and xi in both Si and integral(f(x))