Week 7 Flashcards

(3 cards)

1
Q

Error of Euler Method

A

N O(h2) = (b-a)/h O(h2) = O(h2)

How well did you know this?
1
Not at all
2
3
4
5
Perfectly
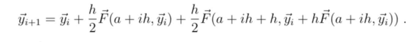
2
Q

Recursion relation for Runge Kutta

A
How well did you know this?
1
Not at all
2
3
4
5
Perfectly
3
Q

Recursion relation for Euler method

A
How well did you know this?
1
Not at all
2
3
4
5
Perfectly