0.2 Coordinates and Absolute Value Flashcards

(9 cards)

1
Q

Evaluate

A

separate when multiplying

How well did you know this?
1
Not at all
2
3
4
5
Perfectly
2
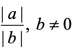
Q

Evaluate

A

separate when dividing

How well did you know this?
1
Not at all
2
3
4
5
Perfectly
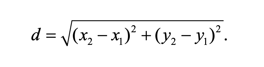
3
Q

Distance Formula between 2 points

(x, y) (x, y)

A
How well did you know this?
1
Not at all
2
3
4
5
Perfectly
4
Q

Evaluate

A

subtraction = flip around

How well did you know this?
1
Not at all
2
3
4
5
Perfectly
5
Q

Midpoint formula for a line segment

a_____________b

A

This tells you the middle point between the ends when you only have one interval

             (a, b)
How well did you know this?
1
Not at all
2
3
4
5
Perfectly
6
Q

Midpoint formula for line with
double endpoints

(a,b) ___________________ (c,d)

A

Also: (x1 +x2)/2
(y1+y2)/2

How well did you know this?
1
Not at all
2
3
4
5
Perfectly
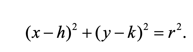
7
Q

(h, k)

A

Center of a circle

How well did you know this?
1
Not at all
2
3
4
5
Perfectly
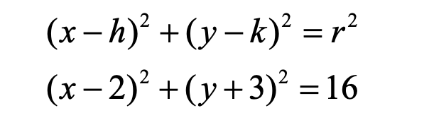
8
Q

Find the standard form equation of a circle with center (2, –3) and radius 4.

A

h = 2, k = –3, and r = 4

How well did you know this?
1
Not at all
2
3
4
5
Perfectly
9
Q

Standard form equation of a circle

A
How well did you know this?
1
Not at all
2
3
4
5
Perfectly