0.4 Lines Flashcards

(8 cards)

1
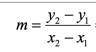
Q

Find slope of a line

A
How well did you know this?
1
Not at all
2
3
4
5
Perfectly
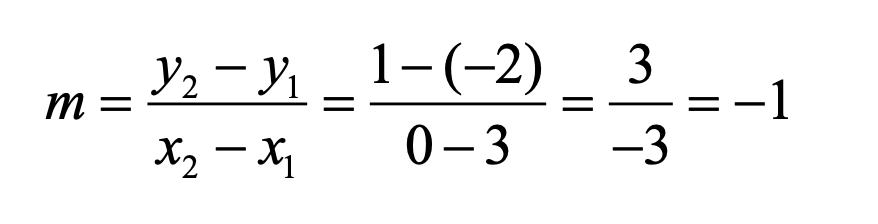
2
Q

What is the slope of the line containing the points (3, –2) and (0, 1) ?

A

-1

How well did you know this?
1
Not at all
2
3
4
5
Perfectly
3
Q

Point-Slope form of an equation

A

y − y1 = m(x − x1)

where m is the slope

How well did you know this?
1
Not at all
2
3
4
5
Perfectly
4
Q

slope-intercept form

A

y = mx + b.

How well did you know this?
1
Not at all
2
3
4
5
Perfectly
5
Q

How do you know if lines are parallel?

A

same slope

How well did you know this?
1
Not at all
2
3
4
5
Perfectly
6
Q

How do you know if lines are perpendicular?

A

the slopes are opposite reciprocals

m1 =2 m2= -1/2

How well did you know this?
1
Not at all
2
3
4
5
Perfectly
7
Q

how do you know if a line is vertical?

A

x

x= 1
x=2

How well did you know this?
1
Not at all
2
3
4
5
Perfectly
8
Q

How do you know if a line is horizontal?

A

y

y= 1
y=6

How well did you know this?
1
Not at all
2
3
4
5
Perfectly