Test Ch. 0 Flashcards

(36 cards)

1
Q
A
How well did you know this?
1
Not at all
2
3
4
5
Perfectly
2
Q
A
How well did you know this?
1
Not at all
2
3
4
5
Perfectly
3
Q
A
How well did you know this?
1
Not at all
2
3
4
5
Perfectly
4
Q
A
How well did you know this?
1
Not at all
2
3
4
5
Perfectly
5
Q
A
How well did you know this?
1
Not at all
2
3
4
5
Perfectly
6
Q
A
How well did you know this?
1
Not at all
2
3
4
5
Perfectly
7
Q
A
How well did you know this?
1
Not at all
2
3
4
5
Perfectly
8
Q

Area of triangle

A
How well did you know this?
1
Not at all
2
3
4
5
Perfectly
9
Q

Area of rectangle or square

A

length * width

How well did you know this?
1
Not at all
2
3
4
5
Perfectly
10
Q

perimeter of square, rectangle, triangle

A

add all sides

How well did you know this?
1
Not at all
2
3
4
5
Perfectly
11
Q

Find the perimeter and area of a figure when given points A (x,y) B (x,y)

A

1) Draw points and figure out what shape it is

2) Find the distance between A-B and B-C, A-C, etc.

3) Use formula for area

4) add all sides to find perimeter

How well did you know this?
1
Not at all
2
3
4
5
Perfectly
12
Q

Find distance of a straight line

A

subtract, answer always positive

horizontal line: subtract x2-x1
Vertical line : y2-y1

How well did you know this?
1
Not at all
2
3
4
5
Perfectly
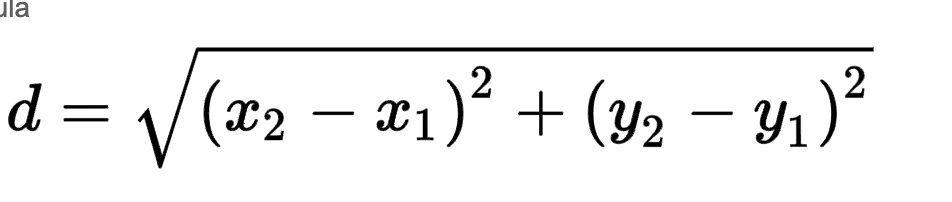
13
Q

Find distance of a diagonal

A

Distance formula

How well did you know this?
1
Not at all
2
3
4
5
Perfectly
14
Q

Distance formula

A
How well did you know this?
1
Not at all
2
3
4
5
Perfectly
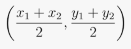
15
Q

Find the center of a circle (h, k) using endpoints

A

Find the midpoint

How well did you know this?
1
Not at all
2
3
4
5
Perfectly
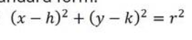
16
Q

Equation of a circle in standard form

17
Q

When adding or subtracting fractions

A

Find the common denominator on all sides. Figure out one side first, then the other

side 1 = side 2

18
Q

Find a general form of an equation passing through (a,b) and (b,c)

A

1) find the slope

2) write in point-slope or slope-intercept form

3) Solve

4) arrange in form ax + by+ c = 0

19
Q

Slope formula

20
Q

point-slope form

21
Q

Slope-intercept form

22
Q

Parallel lines

23
Q

Perpendicular lines

A

opposite inverse slope

24
Q

Complete the square steps

A

1) Start with a quadratic equation
2) Move C to the right side
3) Add (b/2)^2 to both sides
4) Factor the left side (left = right)
hint: It will always be (x+/- (b/2)^2
5) Solve the right side
6) Take the square root of both sides
7) Solve for x

25
Square root of a negative
26
Quadratic formula
27
Solve an inequality with ax+c in the middle
Add/subtract c from the right and left side to leave x in the middle alone solve
28
Solve absolute value inequalities
2 equations: one for + and one for - Test to see which answer is true
29
Add complex numbers (a+bi) + (c+di)
30
Subtract complex numbers (a+bi) - (c+di)
31
Multiply complex numbers
32
Divide complex numbers
33
Solve system of equations algebraically
#1) Elimination method between equations 1 and 2 -- Get new equation 2 -- equation 1 stays the same #2) Elimination method between equations 1 and 3 ---Get new equation 3 -- equation 1 stays the same #3) Elimination method between your new equation 2 and new equation 3 #4 ) Done: OG eq 1, new equations 2 and 3
34
When solving inequalities
Write the interval notation (3, 4) (3,4) u ( 7, 10)
35
Sign test for inequality equations
plot the solutions on the x line If you are looking for a solution <0 , then choose the intervals when the solution is negative If greater than 0, choose the interval where it's positive
35
Sign test for inequality equations when joined
Plot your solutions in line - if your answer needs to be less than 0, it is negative, so you need to choose only the intervals where the function is negative