0.5 Equations Flashcards

(4 cards)

1
Q

Quadratic Equations

A

the x is squared

How well did you know this?
1
Not at all
2
3
4
5
Perfectly
2
Q

Completing the square

A

add (b / 2) ^2 to both sides of the equation and factor the left side

How well did you know this?
1
Not at all
2
3
4
5
Perfectly
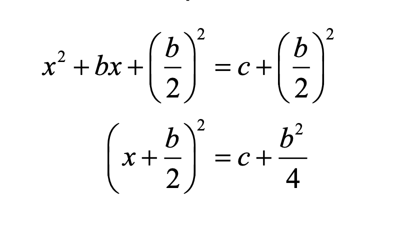
3
Q

Complete the square
x^2 + bx = c

A
How well did you know this?
1
Not at all
2
3
4
5
Perfectly
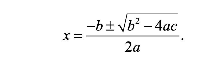
4
Q

Quadratic formula

A

ax^2 + bx + c = 0

How well did you know this?
1
Not at all
2
3
4
5
Perfectly