0.6 Complex Numbers Flashcards

(8 cards)

1
Q

complex number

A

written as a + bi

How well did you know this?
1
Not at all
2
3
4
5
Perfectly
2
Q

Add
(a + bi) + (c + di)

A

(a + c) + (b + d)i

How well did you know this?
1
Not at all
2
3
4
5
Perfectly
3
Q

Subtract
(a + bi) - (c + di)

A

= (a – c) + (b –d)i.

How well did you know this?
1
Not at all
2
3
4
5
Perfectly
4
Q

Multiply
(a + bi) (c + i)

A

FOIL Method
ac + ia +cbi +bi^2

How well did you know this?
1
Not at all
2
3
4
5
Perfectly
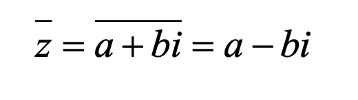
5
Q

Complex conjugate

A

z = a + bi

How well did you know this?
1
Not at all
2
3
4
5
Perfectly
6
Q

multiplicative identity

A

1 = 1 + 0i.

How well did you know this?
1
Not at all
2
3
4
5
Perfectly
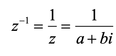
7
Q

Multiplicative inverse

A

z = a + bi

How well did you know this?
1
Not at all
2
3
4
5
Perfectly
8
Q

Dividing complex numbers

A

(1) multiply by opposite of the denominator

(2) solve

How well did you know this?
1
Not at all
2
3
4
5
Perfectly