What does ∇.v stand for?
The divergence of v
What is the symbol for the divergence of v?
∇.v
What is the equation for the divergence of v, ∇.v?

If ∇.v a scalar or vector field? And why?
Scalar field - it maps each point (x, y, z) to a number not a vector
What are two properties of divergence?

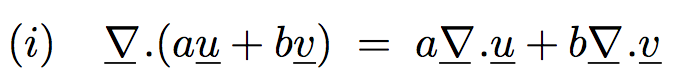
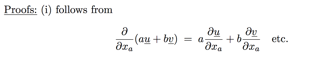
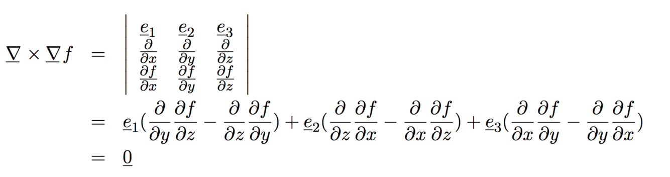
Prove the following property of divergence.


Prove the following property of divergence.


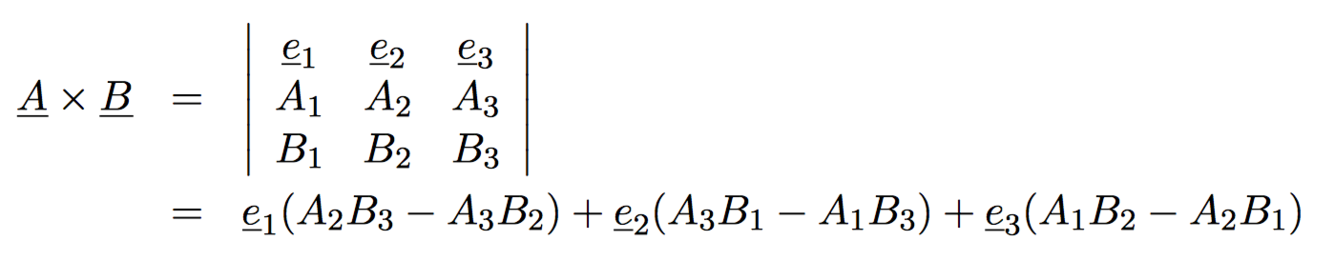
What is the vector cross product of two vectors A and B?

What does ∇ x v stand for?
The curl of v
What is the symbol for the curl of v?
∇ x v
What is the equation for the curl of v, ∇ x v?

What is the curl a measure of?
How much v is curling around
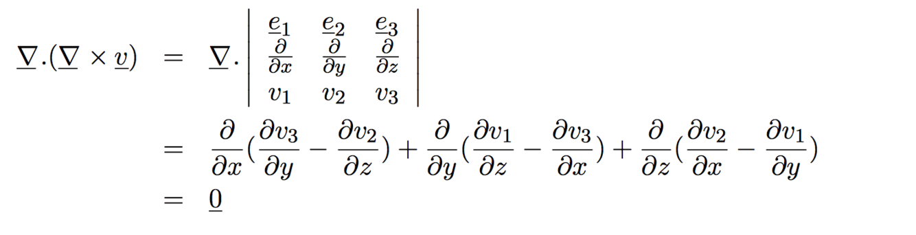
Why can you calculate the divergence of a curl?
Because of curl is a vector field
What are two properties of curl?

Prove the following property of the curl.

Follows from linearity of derivatives - need to do
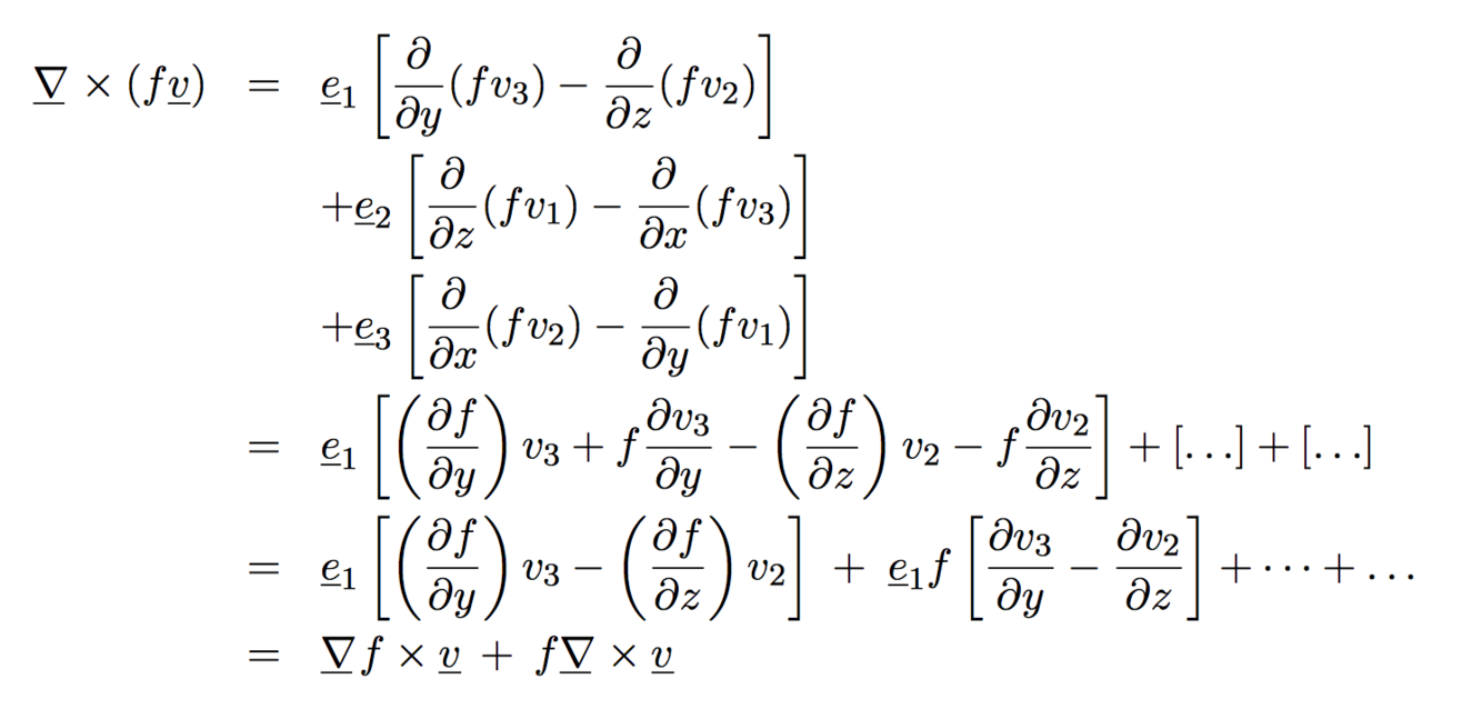
Prove the following propety of the curl.


What does the following stand for? And what is another way to write it?


What is the equation for the div grad f?

What is another name for ∇2f other than div grad f?
Laplacian of f
For n=3, in general what does ∇ x _∇_f equal?

For n=3, in general what does ∇.(∇ x v) equal?
