Define the Kronecker delta.

Show how the identity matrix I is linked with the Kronecker delta.

What is the following in index notation.


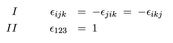
What is the symbol for the Levi-Civita?
εijk
What does εijk stand for?
The Levi-Civita
Define εijk, the Levi-Civita by two of it’s properties.

What is another name for this property?

Antistymmetric
What five other properties does these inital two properites of εijk imply?


How do you write the vector cross product C = A x B in index notation?

When is something called a dummy indice?
When it is summed over in the formula and so don’t appear in the final answer
What does the following equal?


Prove the following be equating both sides


What is the Einstein Summation Convention?
You drop the summation sign, with the convention that wherever an index is repeated you sum over it.
Finish the following equations using Einstein’s summation convention.


What is the difference between dummy and free indices?
Dummy indices are indices to be summed other where as free will remain in the answer
What is a generic rule you can use for δ in equations like the following.

If δ has a dummy indice then delete the δ and replace the dummy index in the rest of the expression by the other index on the deleted δ.
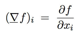
What is the ith component of _∇_f in index notation?

What is the ith component in ∇.v?

What is the ith component of ∇ x v?

What does the following equal?

