What does ℝ stand for?
The set of real numbers
What does ℝn stand for?
Set of ordered n-tuples (x1, x2, … , xn) where each xi is real, and can be thought of as cartesian coordinate of a point in n-dimensional space
What is the standard basis?
{e1, e2, …, en}
The position vector of a point in ℝn can be written in the standard basis as what?

What drops the sum symbol when we see a repeated index?
The Einstein Summation Convention
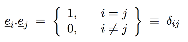
What are the ei’s w.r.t the scalar (dot) product?
Orthonormal
What does the following equal.


What is δij called?
The Kronecker delta.
What is the scalar (dot) product of two vectors u and v?

What is the equation for the length of a vector u?

What is the equation for the angle θ between u and v?

Define a scalar field.

Define a vector field.

How are curves in ℝn given?

If x(t) is differentiable then what is the tangent to the curve?
