When is a scalar field f(x) : U ➝ ℝ, U open in ℝn differentiable at a ∈ U?

What term is linear in h in the following?


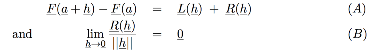
When is a vector field F(x) : U ➝ ℝn, U open in ℝn differentiable at a ∈ U?
If there is a linear function L : ℝn ➝ ℝn such that

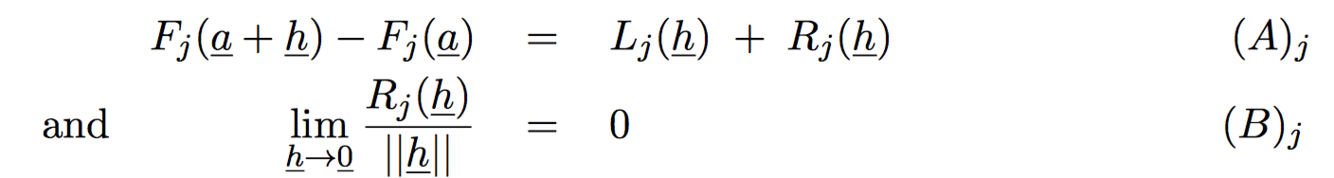
If we write the jth component of the following?


How else can we write Lj(h)?

Using the following equation how do we write L in matrix form


What is the following matrix called?

The Jacobian
What is the Jacobian matrix?

What is another name for the Jacobian matrix?
Differential of F(x)
What symbol do we use to represent the Jacobian matrix?
DF(a)
Define Jacobian.

What can you think of a vector fled v(x) as?
Coordinate transformation on ℝn
What can you think of v(a + h) - v(a) as?
Transformed coorindates relative to the transformed origin v(a)
What is v(a + h) - v(a) roughly equal to?

What is the inverse function theorem?

Define diffeomorphism and diffeomorphic.

Define local diffeomorphism.

Suppose the following. What does this suggest w(v(x)) is?


What is Dw(v(x)) equal to?

What does D(w(v(x)) equal when v is a local diffeomorphism and w is its inverse map?

What does D(v)-1 equal when v is a local diffeomorphism and w is its inverse map?
D(w)
Define orientiation preserving and orientation reversing .

How do the determinants relate in the following equation.

