What are the partial derivatives of
f(x) = x1e1 + x2e2?

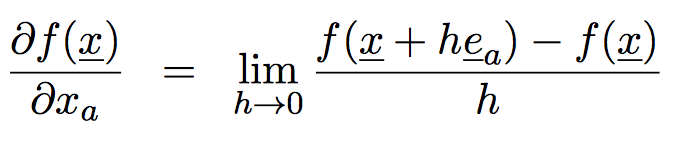
What is the partial derivative of the following w.r.t each xa


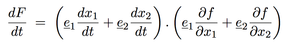
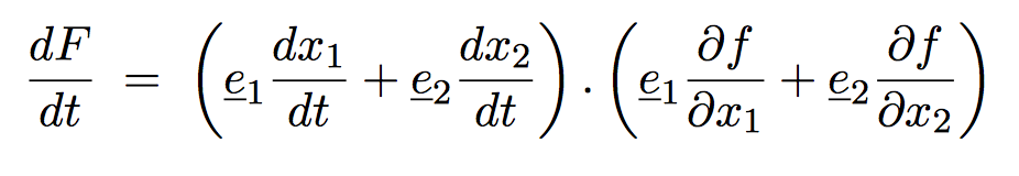
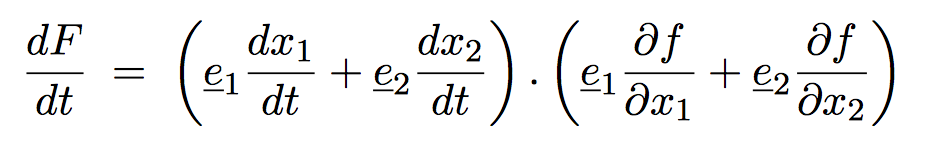
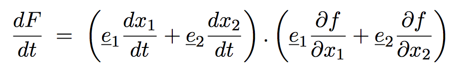
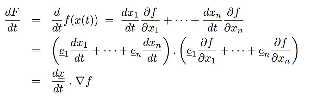
What is the derivative of f(x(t)) in two dimensions?

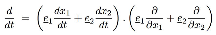
Write the following as an operator.


Write the following as a scalar product.


What are the first and second brackets known as from the following.

What is the symbol for the gradient of f?
_∇_f
Write the following in operator form


Write the following in a shorter way.


What is the derivative of
x(t) = x1(t)e1 + …. + xn(t)en?

What is ∇ called?
Dell operator, nabla
Define ∇.

What is the operator form for the derivative of x(t)?
