An option can be replicated by buying ___ shares of the underlying stock and lending ___ at the risk free rate.
An option can be replicated by buying Δ shares of the underlying stock and lending B at the risk free rate.
Replicating Portfolio
Δ =

Replicating Portfolio
B = ?

Replicating Portfolio
Option Price (V) = ?

Replicating Portfolio
For Call Options, Δ is ( + / – ) and B is ( + / – )?
Replicating Portfolio
For Call Options, Δ is ( + ) and B is ( – )?
Replicating Portfolio
For Put Options, Δ is ( + / – ) and B is ( + / – )?
Replicating Portfolio
For Put Options, Δ is ( – ) and B is ( + )?
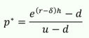
p* = ?

Option price (V) under risk neutral pricing
V = e-rh[(p*)Vu + (1-p*)Vd]
p = ?

Option price (V) under true pricing
V = e-γh[(p)Vu + (1-p)Vd]
eγh = ?

Forward Tree
u = ?
d = ?
u = e( r - δ )h + σ√(h)
d = e( r - δ )h - σ√(h)
Jarrow Rudd Tree
u = ?
d = ?

Cox-Ross-Rubinstein Tree
u = ?
d = ?
u = eσ√(h)
d = e-σ√(h)
How can you tell if arbitrage is available in the binomial model?
Arbitrage is available if the following inequality is not satisfied:
d < e( r - δ )h < u
What substitutions do you need to make for Options on Futures Contracts?
St →Ft, T
δ → r
Options on Futures Contracts
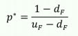
p* = ?

Options on Futures Contracts
Δ = ?

Options on Futures Contracts
B = ?
B = e-rh[(p*)Vu + (1 - p*)Vd]