Interest Rate Models
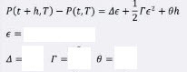
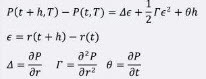
Delta Gamma Theta Approximation

Interest Rate Models
Delta Gamma Theta Approximation


Interest Rate Models
Rendlemen-Bartter Model
Interest Rate Models
Rendlemen-Bartter Model
Interest Rate Models
Vasicek Model
Interest Rate Models
Vasicek Model
Interest Rate Models
Cox-Ingersoll-Ross Model
Interest Rate Models
Cox-Ingersoll-Ross Model






Black Derman Toy

Black Derman Toy

Black’s Formula
Call Price =

Black’s Formula
Put Price =

Black’s Formula


Black’s Formula


Black’s Formula


Black’s Formula


At time T, the value of (T + 1)-year caplet =
