When simulating, zi =
zi = N-1(ui)
The simulated value of the stock price at time T
ST =

Use the _____ distribution only when discounting is needed.
Use the _____ distribution when discounting is not needed.
Use the risk-neutral distribution only when discounting is needed.
Use the true distribution when discounting is not needed.
Control Variate Method
Y* =

Control Variate Method


Var[Y*] =

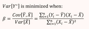
Var[Y*] is minimized when
ß =

When ß is set to minimize Var[Y*],
Var[Y*] =

Antithetic Variate Method
For every ui, also simulate using _____
Antithetic Variate Method
For every ui, also simulate using 1 - ui
Antithetic Variate Method
For every zi, also simulate using _____
Antithetic Variate Method
For every zi, also simulate using -zi

