What is the mean of the lognormal distribution, E[Y]?
E[Y] = em+0.5(v^2)
What is the Variance of the Lognormal Distribution, Var[Y]?
(E[Y])2[ev^2-1]


E[ST|St] = ?
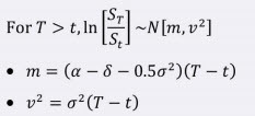
E[ST|St] = Ste(α-δ)(T-t)
Var[ST|St] = ?
Var[ST|St] = (E[ST|St)2(ev^2-1)
ST = ?

Median =
Median = Ste(α-δ-0.5σ^2)(T-t)
Cov(St, ST) =

Pr[ST < K] = ?

Pr[ST > K] = ?









Express zU in terms of zL
zU = -zL
E[ST|ST < K] = ?

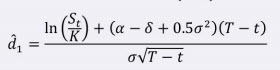
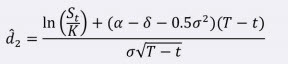
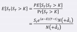
E[ST|ST > K] = ?

E[Call Payoff] = ?

E[Put Payoff] = ?
