Four types of credit market instruments
4.
Four types of credit market instruments
4.Discount bond (zero-coupon bond): is bought at a price below its face value (at a discount), and the face value is repaid at the maturity date. Example: Canadian government treasury bills and long-term zero-coupon bonds.
Yield to maturity to measure interest rates
Yield to maturity to measure interest rates
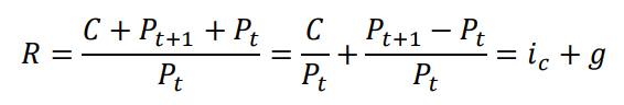
Bond returns
Current bond prices and interest rates are …: When the interest rate …, the price of the …, and vice versa.
A rate of return (RoR) is …
Return on a bond will not …

Bond returns
Current bond prices and interest rates are negatively related: When the interest rate rises, the price of the bond falls, and vice versa.
A rate of return (RoR) is the net gain or loss on an investment over a specified time period, expressed as a percentage of the investment’s initial cost.
Return on a bond will not necessarily equal the yield to maturity on that bond.
Real and Nominal Interest Rates:
eal and Nominal Interest Rates: