Chapter 2 part 2 Flashcards

(11 cards)

1
Q

Elasticity

A

Percentage change in one variable resulting from a 1-percent change in another

How well did you know this?
1
Not at all
2
3
4
5
Perfectly
2
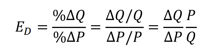
Q

The general form of demand and supply. And how to transform them into price elasticity

A

π·π‘’π‘šπ‘Žπ‘›π‘‘ π‘“π‘’π‘›π‘π‘‘π‘–π‘œπ‘›: 𝑄𝐷 = a βˆ’ 𝑏𝑃

𝑆𝑒𝑝𝑝𝑙𝑦 π‘“π‘’π‘›π‘π‘‘π‘–π‘œπ‘›: 𝑄𝑆 = c + 𝑑𝑃

The price elasticity of demand

Ed=βˆ’b (𝑃 /Q) and

b= βˆ’πΈπ· ( 𝑄 / 𝑃 );

The price elasticity of supply:

dβˆ— (𝑃 /Q) and

d = 𝐸S ( 𝑄 / 𝑃 );

How well did you know this?
1
Not at all
2
3
4
5
Perfectly
3
Q

Price elasticity of demand. What kind of number is it? When the price of a good increases the quantity of demanded …?The elasticity … as the quantity of demand increases?

A

estimates the percentage change in quantity demanded of a good resulting from a 1-percent change in its price.

The price elasticity of demand is usually a negative number. When the price of a good increases, the quantity demanded usually falls.

How well did you know this?
1
Not at all
2
3
4
5
Perfectly
4
Q

Elastic and Inelastic demand

  1. If ED>1 in magnitude, the demand is…, a 1% change in price leads to a … than 1% change in quantity demanded;
  2. If ED=1 in magnitude, the demand is … , a 1% change in price leads to 1% change in quantity demanded;
  3. If ED<1 in magnitude, the demand is … , a 1% change in price leads to … than 1% change in quantity demanded.

A
  1. If ED>1 in magnitude, the demand is price elastic, a 1% change in price leads to a greater than 1% change in quantity demanded;
  2. If ED=1 in magnitude, the demand is unit elastic, a 1% change in price leads to 1% change in quantity demanded;
  3. If ED<1 in magnitude, the demand is price inelastic, a 1% change in price leads to a smaller than 1% change in quantity demanded.
How well did you know this?
1
Not at all
2
3
4
5
Perfectly
5
Q

Factors that can affect price elasticities of demand

A
  1. Number of substitutes;
  2. Luxury goods and Necessity goods;
  3. Price of the goods relative to income;
  4. The time period under consideration.
How well did you know this?
1
Not at all
2
3
4
5
Perfectly
6
Q

Example of elasticity of demand

Alice’s demand for coffee can be expressed as a function:Q = 9 βˆ’ 3𝑃 , the demand curve for coffee then can be drawn as:

  • When P=3, Q=0; ED=…at this point; (the price elasticity of demand is …;
  • When P=1.5, Q=4.5; ED=… at this point; (the price elasticity of demand is …);
  • When P=0, Q=9; ED=… at this point; (the price elasticity of demand is …);
A
  • When P=3, Q=0; ED=-∞ at this point; (the price elasticity of demand is perfectly elastic);
  • When P=1.5, Q=4.5; ED=-1 at this point; (the price elasticity of demand is unit elastic);
  • When P=0, Q=9; ED=0 at this point; (the price elasticity of demand is perfectly inelastic);
How well did you know this?
1
Not at all
2
3
4
5
Perfectly
7
Q

Infinitely Elastic Demand and Completely Inelastic Demand( curves included)

A
How well did you know this?
1
Not at all
2
3
4
5
Perfectly
8
Q

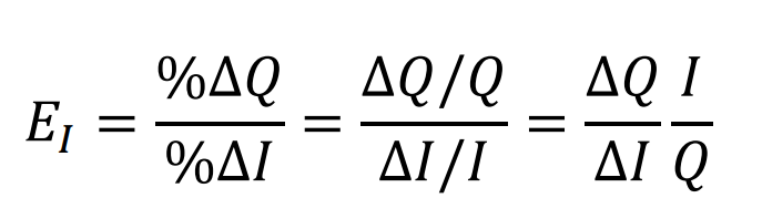
Income elasticity of demand. The demand for Luxury goods are … but demand for necessities are…The demand for Luxury goods are income … but the demand for necessities are income …

A

Percentage change in the quantity demanded resulting from a 1- percent change in income.

  1. The demand for Luxury goods are income elastic, but the demand for necessities are income inelastic.
  2. The income elasticities for normal goods are greater than zero; the income elasticities for inferior goods are smaller than zero.
How well did you know this?
1
Not at all
2
3
4
5
Perfectly
9
Q

Cross-price elasticity of demand.

  • If goods are substitutes, the cross-price elasticities will be …; if goods are complements, the cross-price elasticities will be …
A

Cross-price elasticity of demand: Percentage change in the quantity demanded of one good resulting from a 1-percent increase in the price of another.

If goods are substitutes, the cross-price elasticities will be positive; if goods are complements, the cross-price elasticities will be negative.

How well did you know this?
1
Not at all
2
3
4
5
Perfectly
10
Q

Price elasticity of supply

  • The easier and more rapid the transfer of resources, the … is the price elasticity of supply;
  • The longer a firm has to adjust, normally the … the price elasticity of supply.
A

percentage change in quantity supplied resulting from a 1-percent change in price. The price elasticity of supply is usually positive because a higher price gives producers an incentive to increase output

  • The easier and more rapid the transfer of resources, the greater is the price elasticity of supply;
  • The longer a firm has to adjust, normally the higher the price elasticity of supply.
How well did you know this?
1
Not at all
2
3
4
5
Perfectly
11
Q

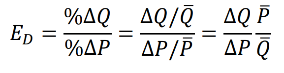
Point elasticity of demand and Arc elasticity of demand

A
  • Point elasticity of demand: Price elasticity at a particular point on the demand curve. (see formula before)
  • Arc elasticity of demand: Price elasticity calculated over a range of prices.
How well did you know this?
1
Not at all
2
3
4
5
Perfectly