Differential Calculus Flashcards

(20 cards)

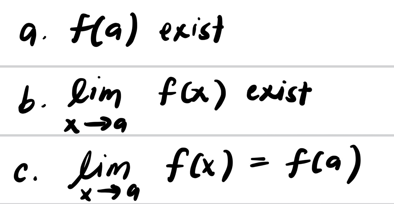
1
Q

A function is continuous at x=a if

A
How well did you know this?
1
Not at all
2
3
4
5
Perfectly
2
Q

Missing point discontinuity

A
How well did you know this?
1
Not at all
2
3
4
5
Perfectly
3
Q

Infinite discontinuity

A
How well did you know this?
1
Not at all
2
3
4
5
Perfectly
4
Q

when to consider y=k is the horizontal asymptote in limits

A
How well did you know this?
1
Not at all
2
3
4
5
Perfectly
5
Q

When to consider x=h is a vertical asymptote

A
How well did you know this?
1
Not at all
2
3
4
5
Perfectly
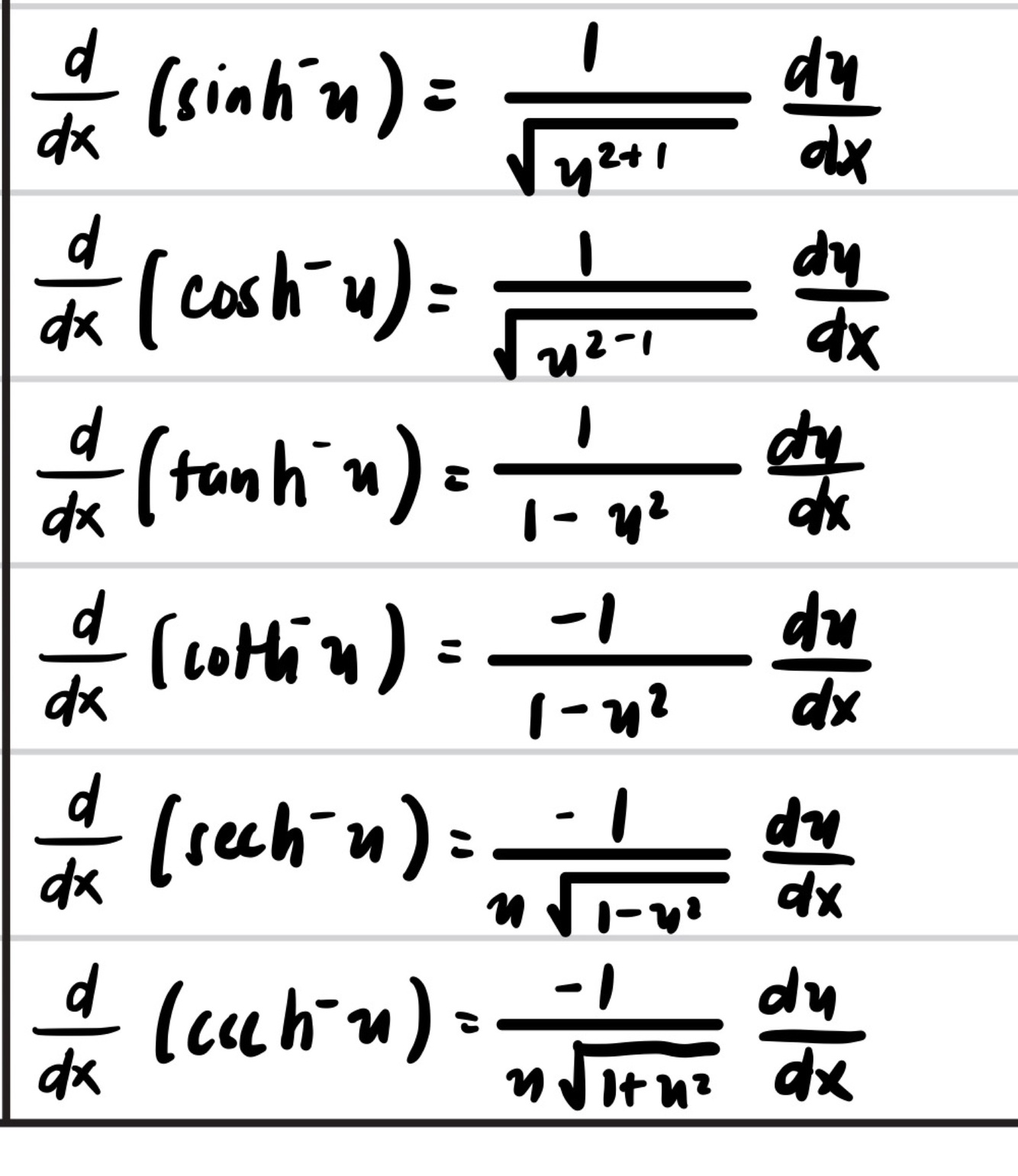
6
Q
A
How well did you know this?
1
Not at all
2
3
4
5
Perfectly
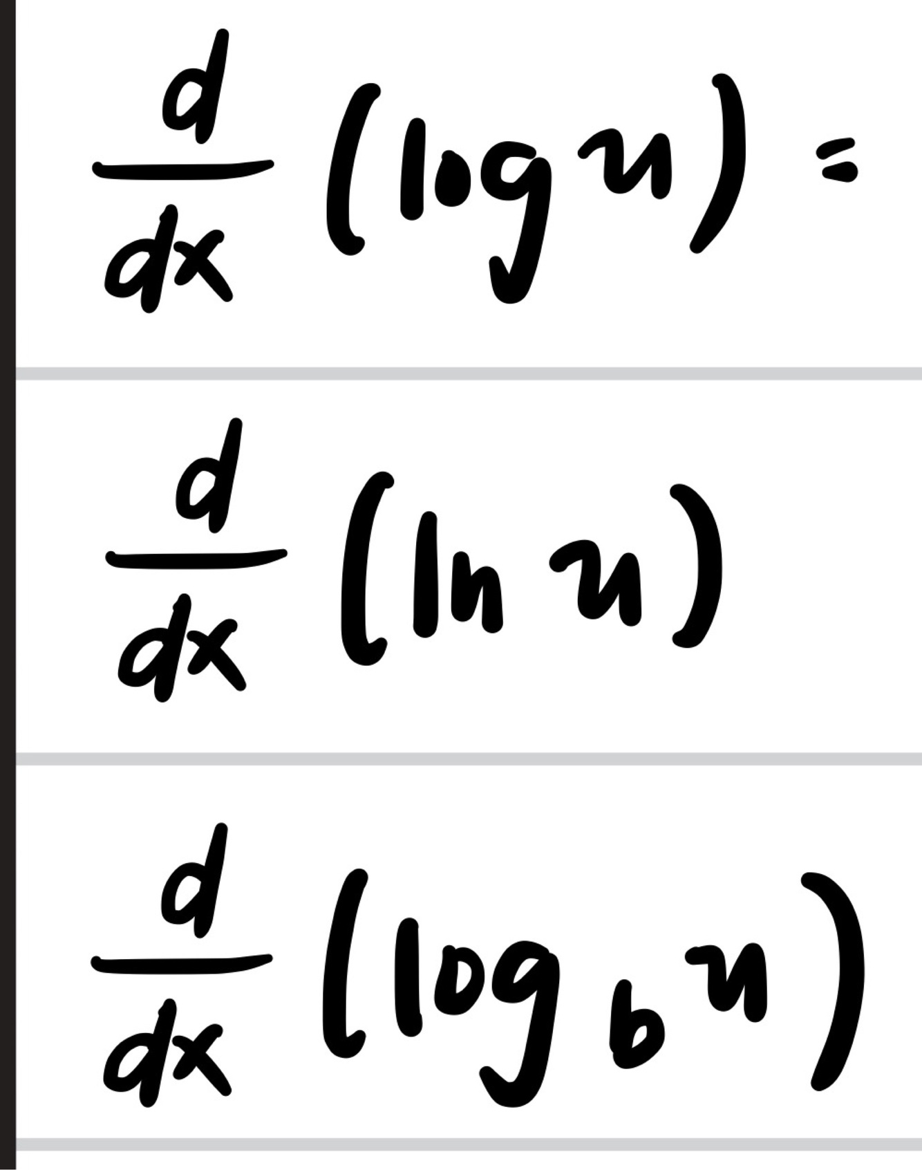
7
Q
A
How well did you know this?
1
Not at all
2
3
4
5
Perfectly
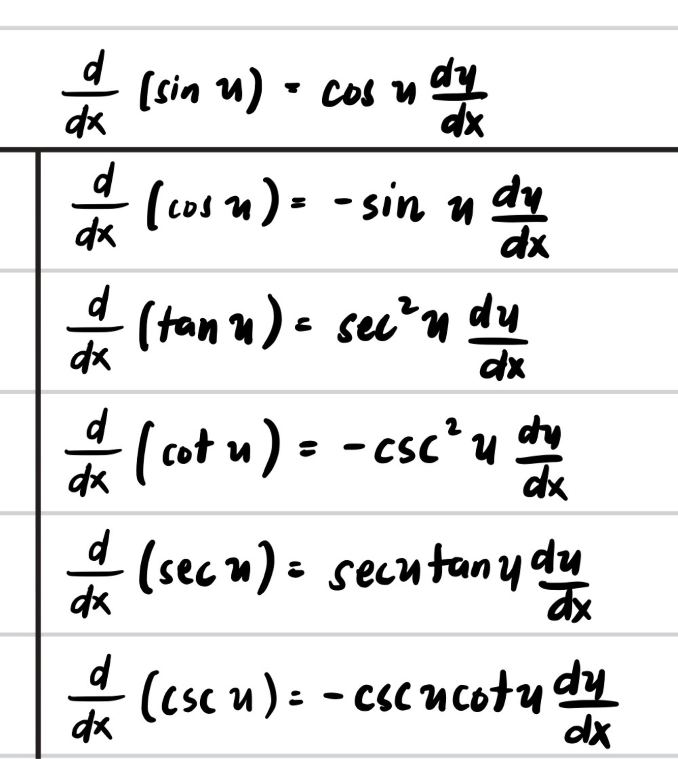
8
Q
A
How well did you know this?
1
Not at all
2
3
4
5
Perfectly
9
Q
A
How well did you know this?
1
Not at all
2
3
4
5
Perfectly
10
Q
A
How well did you know this?
1
Not at all
2
3
4
5
Perfectly
11
Q
A
How well did you know this?
1
Not at all
2
3
4
5
Perfectly
12
Q

A second derivative is a
local maximum if:
local minimum if:
point of inflection if:

A

-negative
-positive
-zero

How well did you know this?
1
Not at all
2
3
4
5
Perfectly
13
Q

What are considered indeterminate

A
How well did you know this?
1
Not at all
2
3
4
5
Perfectly
14
Q

no definite/definable values

A

Indeterminate

How well did you know this?
1
Not at all
2
3
4
5
Perfectly
15
Q

Percent error (differential calculus)

A
How well did you know this?
1
Not at all
2
3
4
5
Perfectly
16
Q

Curvature

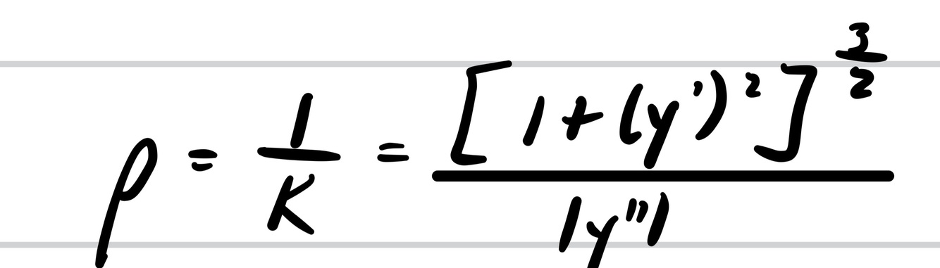
17
Q

Radius of Curvature

18
Q

Center of Curvature

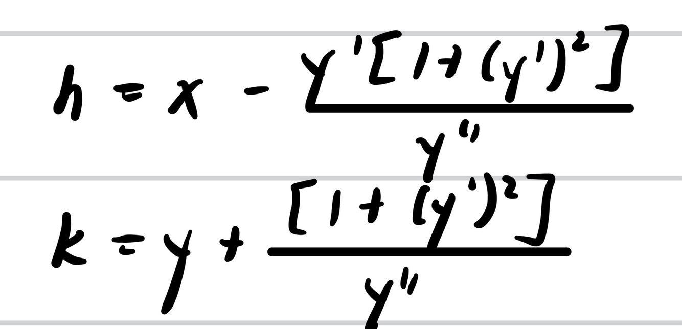
19
Q

Shortcut formula for maxima:
Rectangle with open on one side
Length:
Width:
Area:

20
Q

Shortcut formula for minima:
Ladder in a wall and building formula: