Differential Equations Flashcards

(12 cards)

1
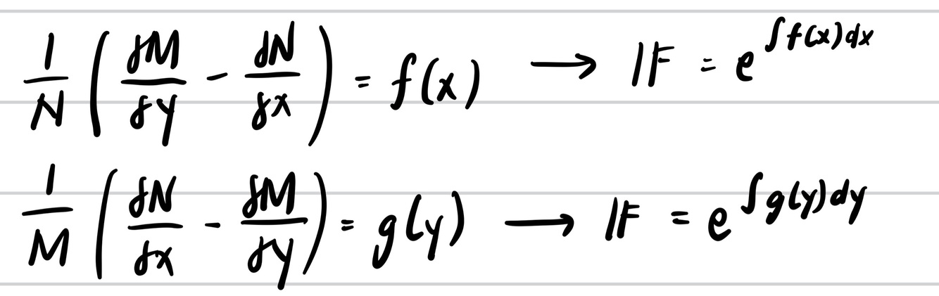
Q

Formula for integrating factor

A
How well did you know this?
1
Not at all
2
3
4
5
Perfectly
2
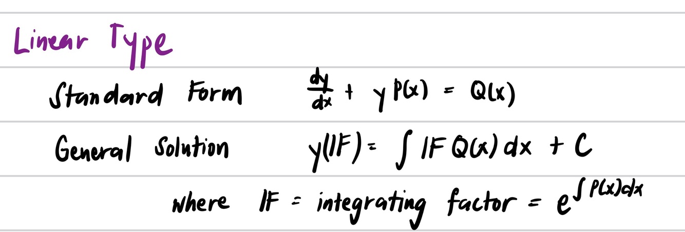
Q

Linear Type Equation
Standard Form:
General Solution:

A
How well did you know this?
1
Not at all
2
3
4
5
Perfectly
3
Q

Formula for Chemical Solutions (DE)

A
How well did you know this?
1
Not at all
2
3
4
5
Perfectly
4
Q

Total Voltage for RL series DC circuit

A
How well did you know this?
1
Not at all
2
3
4
5
Perfectly
5
Q

Total Voltage for RC series DC circuit

A
How well did you know this?
1
Not at all
2
3
4
5
Perfectly
6
Q

HIGHER LINEAR DE

A
How well did you know this?
1
Not at all
2
3
4
5
Perfectly
7
Q

HIGHER DE with distinct complex characteristic roots

A
How well did you know this?
1
Not at all
2
3
4
5
Perfectly
8
Q

HIGHER DE with repeated real characteristic roots

A
How well did you know this?
1
Not at all
2
3
4
5
Perfectly
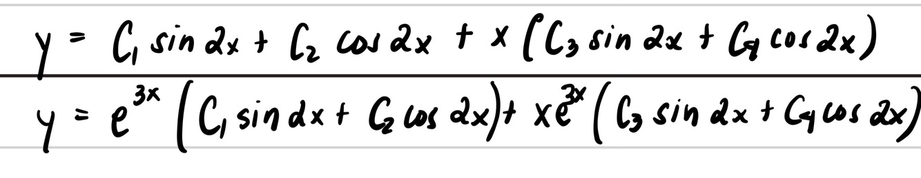
9
Q

HIGHER DE with repeated complex characteristic roots

A
How well did you know this?
1
Not at all
2
3
4
5
Perfectly
10
Q

Non-homogenous DE with constant coefficients

A
How well did you know this?
1
Not at all
2
3
4
5
Perfectly
11
Q

Laplace:

A
How well did you know this?
1
Not at all
2
3
4
5
Perfectly
12
Q

Laplace:

A
How well did you know this?
1
Not at all
2
3
4
5
Perfectly