Trigonometry and Solid Measurements Flashcards

(98 cards)

1
Q

Trigonometric Functions

csc A =

A

1/sin A

How well did you know this?
1
Not at all
2
3
4
5
Perfectly
2
Q

Trigonometric Functions
tan A =

A

sin A/cos A

How well did you know this?
1
Not at all
2
3
4
5
Perfectly
3
Q

Trigonometric Functions
sec A =

A

1/cos A

How well did you know this?
1
Not at all
2
3
4
5
Perfectly
4
Q

Trigonometric Functions
cot A =

A

1/tanA

How well did you know this?
1
Not at all
2
3
4
5
Perfectly
5
Q

Pythagorean Relations

A
How well did you know this?
1
Not at all
2
3
4
5
Perfectly
6
Q

Functions of Complementary Angles:
cos A =
cot A =
csc A =

A
How well did you know this?
1
Not at all
2
3
4
5
Perfectly
7
Q

Sum and Difference of Angles:

A
How well did you know this?
1
Not at all
2
3
4
5
Perfectly
8
Q

Sum and Difference of Angles

A
How well did you know this?
1
Not at all
2
3
4
5
Perfectly
9
Q

Sum and Difference of Angles

A
How well did you know this?
1
Not at all
2
3
4
5
Perfectly
10
Q

sin 2A =

A

2sinAcosA

How well did you know this?
1
Not at all
2
3
4
5
Perfectly
11
Q

cos 2A =

A
How well did you know this?
1
Not at all
2
3
4
5
Perfectly
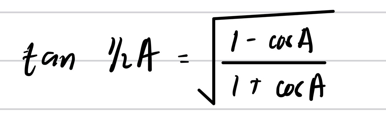
12
Q

tan 2A

A
How well did you know this?
1
Not at all
2
3
4
5
Perfectly
13
Q
A
How well did you know this?
1
Not at all
2
3
4
5
Perfectly
14
Q
A
How well did you know this?
1
Not at all
2
3
4
5
Perfectly
15
Q
A
How well did you know this?
1
Not at all
2
3
4
5
Perfectly
16
Q

Sine Law (ASA)

A
How well did you know this?
1
Not at all
2
3
4
5
Perfectly
17
Q

Cosine Law (SSS, SAS)

A
How well did you know this?
1
Not at all
2
3
4
5
Perfectly
18
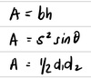
Q

Area of Right Triangle

A

A= ab/2

How well did you know this?
1
Not at all
2
3
4
5
Perfectly
19
Q

Area of triangle given SSS

A
How well did you know this?
1
Not at all
2
3
4
5
Perfectly
20
Q

Area of triangle given SAS

A
How well did you know this?
1
Not at all
2
3
4
5
Perfectly
21
Q

Area of Triangle inscribed in a circle

A
How well did you know this?
1
Not at all
2
3
4
5
Perfectly
22
Q

Area of Triangle circumscribed a circle

A

A = rs

How well did you know this?
1
Not at all
2
3
4
5
Perfectly
23
Q

Area of triangle with escribed circle

A
How well did you know this?
1
Not at all
2
3
4
5
Perfectly
24
Q

Length of median of a triangle

A
How well did you know this?
1
Not at all
2
3
4
5
Perfectly
25
Degrees to mil conversion
360 deg = 6400 mil
26
area of a triangle circumscribed by circle shortcut:
sine law = 2r
27
Area of circle
28
Circumference of Circle
29
Arc length of a circle
30
Area of a sector of circle
31
Area of a segment in a circle
32
4 sides equal, 4 right angles, diagonals are perpendicular
square
33
Area of a square
34
Perimeter of a square
P = 4s
35
Opposite sides are equal, 4 right angles
Rectangle
36
Area of a rectangle
A = LW
37
Perimeter of rectangle
P = 2L + 2W
38
4 sides may be equal, diagonals are perpendicular
Rhombus
39
Area of Rhombus
40
Perimeter of a rhombus
P = 4s
41
Opposite sides are equal and parallel
Parallelogram
42
Area of a parallelogram
43
Perimeter of a parallelogram
P = 2(S1 +S2)
44
two pairs of adjacent sides equal, diagonals are perpendicular
Kite
45
Area of a Kite
46
Perimeter of kite
P =2(S1 +S2)
47
two sides are parallel only
trapezoid
48
Area of a trapezoid
49
with 4 sides not equal and not parallel with two diagonals and intersection are known
Quadrilateral
50
Area of Quadrilateral
51
Quadrilateral inscribed in a circle
Cyclic quadrilateral
52
Area of circle with ciclic quadrilateral
53
Radius of a circle with cyclic quadrilateral
54
Ptolemy theorem in cyclic quadrilateral
55
Area of a circle inscribed in a quadrilateral (cyclic quadrilateral circumscribed a circle)
56
Radius of a circle inscribed in a quadrilateral (Cyclic Quadrilateral)
57
POLYGON Sum of interior angle
58
POLYGON Size of interior angle
59
POLYGON Sum of exterior angle
S = 360 degrees
60
POLYGON Size of exterior angle
61
POLYGON Number of Diagonals
62
Area of a regular polygon
63
Perimeter of a regular polygon
P=n(side)
64
area of quadrilateral approximation
65
a line from the center of a regular polygon at right angles to any of its sides
Apothem
66
Name the common regular polygons from 3 to 20 sides
67
name common regular polygons from 20 to 100 with increments of 10 (20, 30, 40, ..., 100)
68
Cube Volume: Surface Area: Space Diagonal:
69
Rectangular Parallelepiped Volume: Surface Area: Space Diagonal:
70
Right Cylinder Volume: Surface Area: Lateral Area:
71
Right Cone Volume: Surface Area: Lateral Area:
72
Right Pyramid Volume: Surface Area: Lateral Area:
73
(shortcut) Percent increase from single dimension to square dimension:
74
(shortcut) Percent increase from square dimension to single dimension:
75
(shortcut) Percent increase from single dimension to cube dimension:
76
(shortcut) Percent increase from double dimension to cube dimension:
77
Right Frustrum Volume: Surface Area: Lateral Area:
78
Sphere Volume: Surface Area:
79
Formula for zone
80
Spherical Segment (1 base) Volume: Surface Area:
81
Spherical Sector/Spherical Cone Volume:
82
Spherical Wedge Volume:
83
Spherical lune surface area
84
polyhedron four equal faces of equilateral triangle
tetrahedron
85
Tetrahedron # of faces: # of vertices: # of edges: Euler's Equation:
86
Tetrahedron Total Surface Area: Volume: Radius of inscribed sphere:
87
six square equal faces polyhedron
hexahedron
88
Hexahedron # of faces: # of vertices: # of edges: Euler's Equation:
f = 6 v = 8 e = 12 f + v - e = 2
89
Hexahedron Total surface area: Volume: Radius of inscribed sphere:
90
Eight equilateral triangle faces polyhedron
octahedron
91
Octahedron: # of faces: # of vertices: # of edges: Euler's Equation:
f = 8 v = 6 e = 12 f + v - e = 2
92
Octahedron Total Surface Area: Volume: Radius of Inscribed Sphere:
93
Dodecahedron No. of faces: No. of vertices: No. of edges: Euler's Equation
94
12 equal pentagon faces of polyhedron
Dodecahedron
95
Dodecahedron Total Surface Area: Volume: Radius of inscribed sphere:
96
twenty quadrilateral triangle faces of polyhedron
Icosahedron
97
Icosahedron No. of faces: No. of vertices: No of edges: Euler's Equation:
98
Icosahedron Total Surface Area: Volume: Radius of inscribed sphere: