Physics Flashcards

(70 cards)

1
Q

Uniform Motion (distance, rate, time)

A
How well did you know this?
1
Not at all
2
3
4
5
Perfectly
2
Q

Uniformly accelerated motion formulas

A
How well did you know this?
1
Not at all
2
3
4
5
Perfectly
3
Q

Projectile
Horizontal-uniform motion

A
How well did you know this?
1
Not at all
2
3
4
5
Perfectly
4
Q

Projectile
Vertical-uniformly accelerated motion

A
How well did you know this?
1
Not at all
2
3
4
5
Perfectly
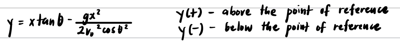
5
Q

Projectile General Formula

A
How well did you know this?
1
Not at all
2
3
4
5
Perfectly
6
Q

Range formula (Projectile)

A
How well did you know this?
1
Not at all
2
3
4
5
Perfectly
7
Q

Rotational Motion formulas

A
How well did you know this?
1
Not at all
2
3
4
5
Perfectly
8
Q

Kinetic energy for rotating object

A
How well did you know this?
1
Not at all
2
3
4
5
Perfectly
9
Q

Kinetic Energy for rolling objects

A
How well did you know this?
1
Not at all
2
3
4
5
Perfectly
10
Q

Newton’s second law

A

F = ma

How well did you know this?
1
Not at all
2
3
4
5
Perfectly
11
Q

Frictional Force

A
How well did you know this?
1
Not at all
2
3
4
5
Perfectly
12
Q

Work

A
How well did you know this?
1
Not at all
2
3
4
5
Perfectly
13
Q

Potential Energy

A

PE = mgh

How well did you know this?
1
Not at all
2
3
4
5
Perfectly
14
Q

Kinetic Energy

A
How well did you know this?
1
Not at all
2
3
4
5
Perfectly
15
Q

Transformation of work and kinetic energy

A
How well did you know this?
1
Not at all
2
3
4
5
Perfectly
16
Q

horsepower and watts conversion

A

1 hp = 746 watts

How well did you know this?
1
Not at all
2
3
4
5
Perfectly
17
Q

Momentum

A

p = mv

How well did you know this?
1
Not at all
2
3
4
5
Perfectly
18
Q

Impulse

A

J = Ft

How well did you know this?
1
Not at all
2
3
4
5
Perfectly
19
Q

Impulse and Change in momentum formula

A
How well did you know this?
1
Not at all
2
3
4
5
Perfectly
20
Q

Coefficient of Restitution (velocity relationship)

A
How well did you know this?
1
Not at all
2
3
4
5
Perfectly
21
Q

Coefficient of restitution (height relationship)

A
How well did you know this?
1
Not at all
2
3
4
5
Perfectly
22
Q

Centripetal acceleration

A
How well did you know this?
1
Not at all
2
3
4
5
Perfectly
23
Q

Centripetal force

A
How well did you know this?
1
Not at all
2
3
4
5
Perfectly
24
Q

Newton’s Law of universal gravitaion

A
How well did you know this?
1
Not at all
2
3
4
5
Perfectly
25
Rotational Work
26
Rotational power
27
Rotational Kinetic Energy
28
Angular Momentum
29
Moment of Inertia (General)
30
Moment of Inertia of the following:
31
Archimedes Principle (buoyant force)
32
Pressure
33
Heat energy Sensible heat: Latent Heat:
34
Specific Heat of Water: Ice: Steam:
35
Latent Heat of fusion and vaporization of water
36
Linear and volumetric thermal expansion
37
Relationship between coefficient of volume expansion and linear expansion
38
Carnot Efficiency
39
frequency and period relationship
40
Energy of freely vibrating simple harmonic oscillator (neglecting friction)
41
frequency of an object in a spring
42
frequency of an object in a pendulum
43
Velocity of transverse wave in a cord
44
Velocity of longitudinal wave in a solid
45
Velocity of longitudinal wave in a fluid
46
Maximum transverse velocity
47
48
49
Doppler frequency shift for sound waves
50
Speed of sound in air: in water:
51
Speed of sound general formula
52
Doppler frequency shift for electromagnetic waves
53
frequency of the standing wave vibration for string and open pipe
54
Frequency of the standing wave vibrations for closed pipe
55
Sound Intensity
56
Intensity level of sound
Io = threshold hearing = 10^12 W/m^2
57
Angle of shock wave
58
Refraction and snell's law
59
Index of refraction formula
60
Thin lens equation
61
Linear Magnification
62
Lens maker's Equation
63
Illumination
64
Luminous Intensity
65
Laws of Illumination
66
Illumination at a specific point
67
Luminous efficiency
68
Coloumb's law
69
Capillary Rise
70
Planck's Law