Mechanics Flashcards

(31 cards)

1
Q

Angle of friction

A
How well did you know this?
1
Not at all
2
3
4
5
Perfectly
2
Q

Belt Friction

A
How well did you know this?
1
Not at all
2
3
4
5
Perfectly
3
Q

Minimum Tension of parabolic cable (tension at the lowest point)

A
How well did you know this?
1
Not at all
2
3
4
5
Perfectly
4
Q

Maximum Tension (Tension at the support)

A
How well did you know this?
1
Not at all
2
3
4
5
Perfectly
5
Q

Length of Parabolic Cable

A
How well did you know this?
1
Not at all
2
3
4
5
Perfectly
6
Q

Moment of area with respect to the y-axis

A
How well did you know this?
1
Not at all
2
3
4
5
Perfectly
7
Q

Moment of Area with respect to the x-axis

A
How well did you know this?
1
Not at all
2
3
4
5
Perfectly
8
Q

Coordinates of the centroid

A
How well did you know this?
1
Not at all
2
3
4
5
Perfectly
9
Q

Centroid of the following body

A
How well did you know this?
1
Not at all
2
3
4
5
Perfectly
10
Q

Centroid of the ffg:

A
How well did you know this?
1
Not at all
2
3
4
5
Perfectly
11
Q

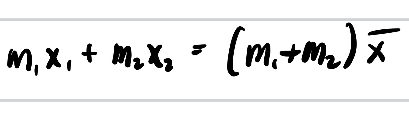
Center of mass

A
How well did you know this?
1
Not at all
2
3
4
5
Perfectly
12
Q

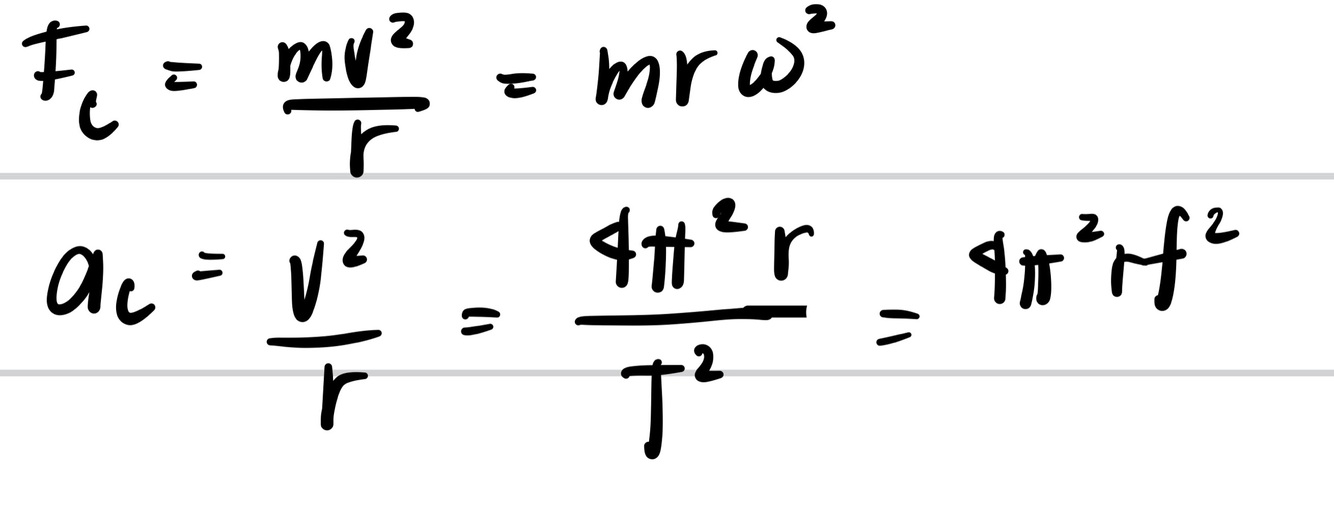
Centripetal Force:
Centripetal Acceleration:

A
How well did you know this?
1
Not at all
2
3
4
5
Perfectly
13
Q

Uniform Motion:
Uniformly Accelerated Motion:

A
How well did you know this?
1
Not at all
2
3
4
5
Perfectly
14
Q

Projectile Motion formulas:

A
How well did you know this?
1
Not at all
2
3
4
5
Perfectly
15
Q

Projectile Motion General Formula

A
How well did you know this?
1
Not at all
2
3
4
5
Perfectly
16
Q

Rotational Motion formulas

17
Q

Elastic Collision

18
Q

Inelastic Collision

19
Q

Coefficient of restitution (3 formulas)

20
Q

Ideal angle of banking when there is no tendency to slide up or down the road

21
Q

Banking with skidding up due to excessive speeding

22
Q

Banking with skidding down due to insufficient velocity

23
Q

Free Body diagrams of the following:
-Simply-supported beam
-double-overhanging beam
-cantilever beam/beam with fixed support

24
Q

Structurally Indeterminate beams

25
Free body diagram of the figure below:
26
Moment of Inertia of the following:
27
Reaction forces of the following supports:
28
Figures of Warren, Howe, and Pratt Trusses
29
Moment of inertia of the following: Rectangle Triangle Circle Annulus
30
Radius of Gyration
31
Parallel Axis Theorem