Diffusion Thermique, Diffusion De Particules Flashcards

(151 cards)

1
Q

Qu’appelle-t-on un transfert convectif ? Dans quel type de milieu est-il prédominant ?

A

C’est un transfert avec déplacement macroscopique de matière. Il est prédominant dans les gazs.

How well did you know this?
1
Not at all
2
3
4
5
Perfectly
2
Q

Qu’appelle-t-on un transfert radiatif ? Quelle est sa particularité ?

A

C’est un rayonnement thermique : rayonnement électromagnétique d’accélération des particules constitutives du milieu. C’est le seul transfert pouvant se faire dans le vide.

How well did you know this?
1
Not at all
2
3
4
5
Perfectly
3
Q

Qu’appelle-t-on un transfert conductif ? Dans quel milieu est-il prédominant ?

A

C’est un transfert sans mouvement macroscopique de matière : transfert d’énergie cinétique microscopique d’agitation thermique par chocs. Il est prédominant dans les solides.

How well did you know this?
1
Not at all
2
3
4
5
Perfectly
4
Q

Qu’est-ce que l’hypothèse ETL ?

A

Équilibre thermodynamique local

How well did you know this?
1
Not at all
2
3
4
5
Perfectly
5
Q

Définir le vecteur transport de chaleur et donner son unité

A
How well did you know this?
1
Not at all
2
3
4
5
Perfectly
6
Q

Définir la puissance thermique à travers une surface (S)

A
How well did you know this?
1
Not at all
2
3
4
5
Perfectly
7
Q

Qu’est-ce que la loi de Fourrier

A
How well did you know this?
1
Not at all
2
3
4
5
Perfectly
8
Q

À quoi faut-il faire attention avec λ

A

Elle dépend à priori de T, donc de M et t

How well did you know this?
1
Not at all
2
3
4
5
Perfectly
9
Q

Quel est le domaine de validité de la loi de Fourrier ?

A
  • milieu linéaire (||grad#(T)|| pas trop grand)
  • milieu isotrope (l’expression de j#cd est indépendante de la direction de grad#(T))
How well did you know this?
1
Not at all
2
3
4
5
Perfectly
10
Q

Comment voit-on l’irréversibilité de la conduction thermique dans la loi de Fourrier ?

A

Par le signe - imposé : une seule direction est permise. Si le phénomène était réversible, on aurait +-

How well did you know this?
1
Not at all
2
3
4
5
Perfectly
11
Q

Quelle est l’unité de λ dans la loi de Fourrier ?

A
How well did you know this?
1
Not at all
2
3
4
5
Perfectly
12
Q

Donner un ordre de grandeur de λ dans un métal

A

≈ 100 à 500 W.m-1.K-1

How well did you know this?
1
Not at all
2
3
4
5
Perfectly
13
Q

Donner un ordre de grandeur de λ dans du bois

A

≈ 1 à 10 W.m-1.K-1

How well did you know this?
1
Not at all
2
3
4
5
Perfectly
14
Q

Donner un ordre de grandeur de λ dans l’eau

A

≈ 1W.m-1.K-1

How well did you know this?
1
Not at all
2
3
4
5
Perfectly
15
Q

Donner un ordre de grandeur de λ dans l’air

A

≈ 10^-2 W.m-1.K-1

How well did you know this?
1
Not at all
2
3
4
5
Perfectly
16
Q

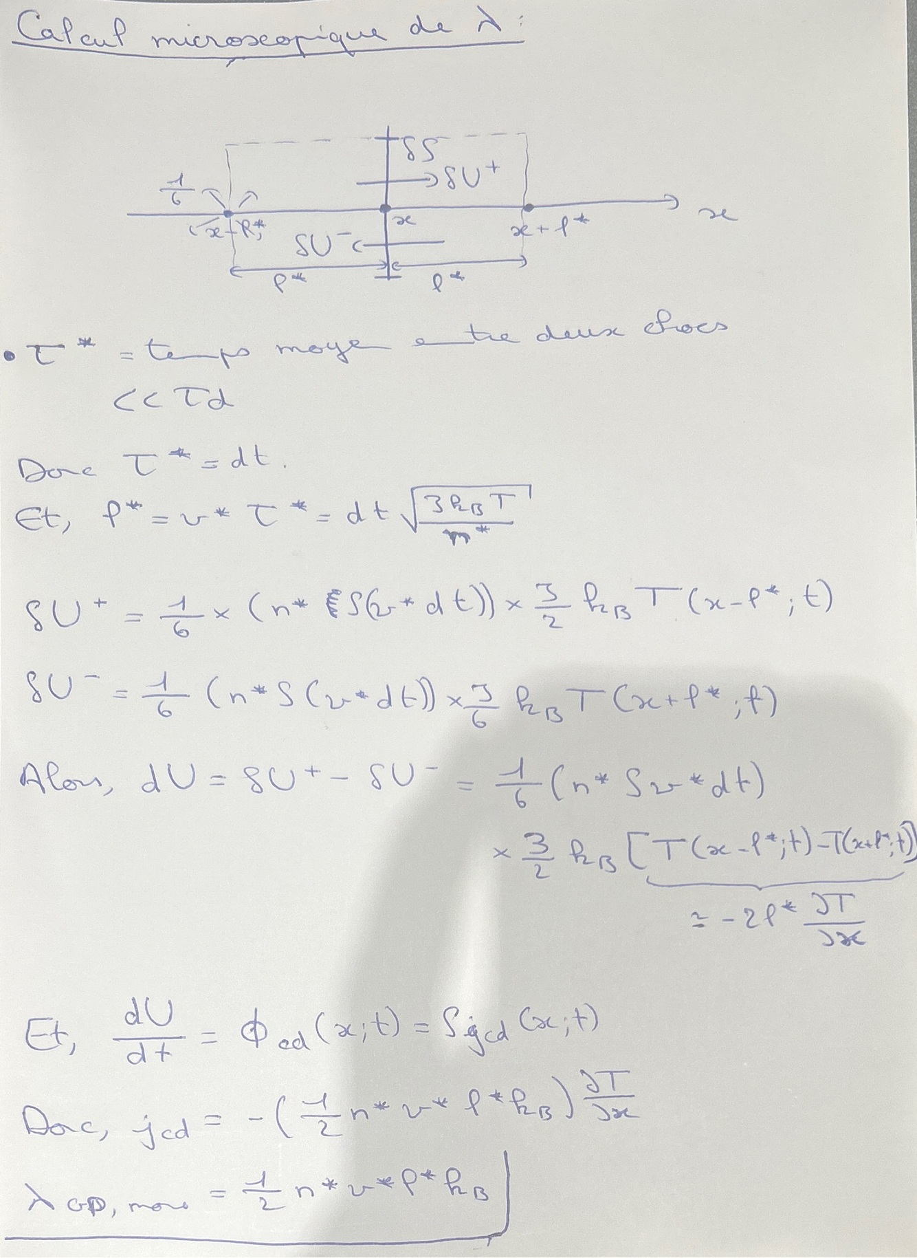
Déterminer l’expression de λ dans un GP monoatomique, selon un modèle unidimensionnel

A

Chaleur = énergie d’agitation thermique, donc faire un bilan de chaleur revient à regarder combien de particules passent et quelle est leur énergie cinétique.

Ici la diffusion ne vient pas d’une différence de n* mais de T, c’est une diffusion de chaleur !

How well did you know this?
1
Not at all
2
3
4
5
Perfectly
17
Q

Donner l’équation locale de conservation de l’énergie thermique

A
How well did you know this?
1
Not at all
2
3
4
5
Perfectly
18
Q

Que vaut du dans un solide à la température T ?

A

du = ρ.c.dT, c la capacité calorifique massique du solide

How well did you know this?
1
Not at all
2
3
4
5
Perfectly
19
Q

Montrer l’équation locale de conservation de l’énergie thermique dans le cas général

A

Φcd + ∫∫∫…*

How well did you know this?
1
Not at all
2
3
4
5
Perfectly
20
Q

Quelles sont les conditions de validité de l’équation de diffusion thermique ?

A
  • loi de Fourrier valide et λ = cste (milieu homogène)
  • Wpression = ΔEc_macro = ΔEp_macro = 0
  • Q = Q_cd
How well did you know this?
1
Not at all
2
3
4
5
Perfectly
21
Q

Donner l’équation de diffusion thermique avec sources puis la démontrer dans le cas unidimensionnel

A
How well did you know this?
1
Not at all
2
3
4
5
Perfectly
22
Q

Donner l’équation de diffusion thermique (/«équation de la chaleur») sans source

A

Pour la démontrer :

  • 1er principe (en pratique) / bilan de U (général)
  • loi de Fourrier
  • si λ ne dépend pas de x
  • sans sources
How well did you know this?
1
Not at all
2
3
4
5
Perfectly
23
Q

À quoi faut-il faire attention avec l’équation de diffusion thermique avec source ?

A

Il ne faut pas juste rajouter un + p à la fin de l’équation sans source (avec le Dth), car on a divisé entre temps par ρ.c !

How well did you know this?
1
Not at all
2
3
4
5
Perfectly
24
Q

Comment lier la longueur de diffusion thermique et le temps de diffusion thermique

A

Dth = l²/τD , en ordre de grandeur

How well did you know this?
1
Not at all
2
3
4
5
Perfectly
25
Donner un ordre de grandeur de Dth dans un métal, de Dth dans le sol
- Dth (métal) ≈ 10-4 m².s-1 - Dth (sol) ≈ 10-5 m².s-1
26
En régime permanent, sans sources, que peut-on dire de j#cd ?
27
En régime permanent, sans sources, déterminer T(x) dans le cas unidimensionnel, lorsqu’on fixe T1 et T2 aux extrémités, et déterminer l’expression de Rth
Attention : il faut refaire un premier principe pour le justifier, en disant bien que dEc = dEp = δW = 0 puis que λ ne dépend pas de x
28
Définir la résistance thermique
29
Comment caractériser le transfert de chaleur par conduction ?
C’est un phénomène diffusif de modération
30
Quelles sont les deux simplifications que l’on obtient en régime permanent (sans sources) ?
- **ΔT = 0**, car ∂T/∂t = 0 - **jcd# à flux conservatif**, car ∂u/∂t = 0 donc div(jcd#) = 0
31
Qu’est-ce que le régime permanent en thermodynamique, physiquement ?
C’est lorsqu’il n’y a plus de transfert d’énergie : tout a atteint sa température finale.
32
Comment déterminer l’expression de T(x), T(r) etc… ?
Résoudre l’équation de diffusion Souvent on la remontre : - 1er principe sous forme de puissance (en précisant que dEc = dEp = δW = 0) - simplification si régime permanent - intégration par rapport à r - loi de Fourrier, en précisant que λ ne dépend pas de M - loi de Newton s’il y a des transferts conducto-convectifs
33
Calculer la résistance thermique, commenter (On est en RP, sinon ça n’a aucun sens de parler de résistance thermique)
Attention : il faut refaire un premier principe pour le justifier, en disant bien que dEc = dEp = δW = 0 puis que λ ne dépend pas de r
34
Calculer la résistance thermique
× dr* à la fin du dT Attention : il faut refaire un premier principe pour le justifier, en disant bien que dEc = dEp = δW = 0 puis que λ ne dépend pas de e
35
Pourquoi la conductivité électrique diminue-t-elle avec la température ?
Car il y a plus de chocs
36
Déterminer l’expression de T(x) en fonction de λ, T1, T2, γ et S
Attention : il faut justifier, en disant bien que dEc = dEp = 0 puis que λ ne dépend pas de x
37
À quoi faut-il faire attention avec la notion de résistance thermique ?
Pas de notion de résistance thermique lorsqu’il y a des termes de création, ça n’a plus de sens car il n’y a plus proportionnalité entre T2 - T1 et φcd
38
Dans un fil de longueur l : Comment commenter ?
Il faut comparer à Tfus
39
Calculer T(r) en RP (dans la sphère)
Attention : il faut justifier, en disant bien que dEc = dEp = 0
40
Quelle est l’hypothèse générale de validité du régime quasi-permanent sans sources ?
41
Déterminer T et l’expression de θ(t) = T1(t) - T2(t) en se plaçant en régime quasi-permanent, en supposant T10 > T20 et en fonction de T10, T20, λ, S, l, C1 et C2
42
Montrer que l’hypothèse du régime quasi-permanent revient à une hypothèse sur C1 et C2
43
Faire un bilan entropique dans le cas unidimensionnel, sur un petit volume pendant un petit dt, montrer que :
44
Que représente la capacité thermique ?
δQ = C × dT, C est la quantité de chaleur que l’on peut acquérir sous une certaine différence de température
45
En faisant un schéma thermique équivalent, à quoi correspondent la loi des noeuds et la loi de mailles ?
46
Résoudre l’équation de diffusion sous la forme θ(x,t) = f(x).g(t)
47
Quelle est la méthode pour calculer une résistance thermique ?
- On utilise la conservation de φcd (car jcd à flux conservatif et …) car calcul de résistance thermique ssi pas de sources - On remplace jcd par la loi de Fourrier - On isole dT - On intègre de 1 à 2 pour avoir T2 - T1 - On utilise la définition de Rth
48
Quelle est la méthode pour calculer l’expression de T(M) lorsqu’il y a un terme création ?
- premier principe sur un volume mésoscopique - on est en régime quasi-permanent donc ∂U/∂t = 0 - remplacer jcd par Fourrier - utiliser la loi de Newton s’il y a des échanges conducto-convectifs - intégrer - utiliser la continuité du flux thermique ainsi que les conditions sur la température comme conditions aux limites
49
On peut considérer que, sauf au voisinage de t=0, le mode fondamental prédomine, tracer θ1(x,t) et θ1(x,t’), t’ > t, dans le cas Bi << 1, quel cas physique est-ce que ça représente ? Commenter
50
On peut considérer que, sauf au voisinage de t=0, le mode fondamental prédomine, tracer θ1(x,t) et θ1(x,t’), avec t’ > t, dans le cas Bi >> 1. Quel cas physique est-ce que ça représente ?
51
Qu’appelle-t-on « effet de cave » ?
Au niveau du sol, on a des variations de températures annuelles ou journalières que l’on modélise comme sinusoïdales, dont on étudie la diffusion dans le sol (l’amortissement et le retard)
52
Que vaut ω dans le cas de variations journalières ? Annuelles ?
53
Déterminer _θ_(x,t) et commenter
(On retrouve quelque chose qui ressemble à l’épaisseur de peau car dans les deux cas on regarde une propagation régie par une équation de diffusion)
54
Montrer que les variations journalières se répercutent très peu en profondeur à l’inverse des variations annuelles
55
Calculer l’ordre de grandeur du décalage temporel pour des variations annuelles
56
Qu’est-ce que la loi de Newton ?
57
Qu’appelle-t-on résistance thermique conducto-convective ?
58
Calculer le flux thermique total à travers le double vitrage
59
Tracer le schéma électrique équivalent
60
Déterminer l’équation vérifiée par T, connaissant hcc. Préciser dans le cas d’une barre cylindrique de rayon a puis d’une barre rectangulaire a×b
Attention : il faut justifier, en disant bien que dEc = dEp = δW = 0 puis que λ ne dépend pas de x
61
Comment faire un schéma électrique équivalent ?
- 1er principe = loi des noeuds - Loi de Fourier = loi des mailles
62
Déterminer l’expression de θ(x) = T(x) - TF et indiquer les conditions aux limites à utiliser
Attention : il faut justifier, en disant bien que dEc = dEp = δW = 0 puis que λ ne dépend pas de x Comme d’habitude : pour les conditions aux limites on utilise la continuité du flux à chacune des deux extrémités
63
Dans le cas particulier l << δ, déterminer α et β et en déduire le flux total évacué
64
Déterminer l’équation aux dérivées partielles sur T(x,t)
Attention : il faut justifier, en disant bien que dEc = dEp = 0, donner l’expression de δW puis dire que λ ne dépend pas de x
65
Lorsqu’on a une puissance électrique en diffusion thermique, comment l’exprimer ?
pJ = j#•E# = j²/γ = I²/γ.S²
66
Déterminer l’équation différentielle sur la moyenne spatiale θ(t), commenter
67
Déterminer l’équation différentielle sur la moyenne spatiale θ(t), commenter
68
Quel est l’ordre de grandeur du courant maximum qui peut circuler dans un fusible ?
Quelques ampères
69
En supposant qu’on a un débit massique Dm = cste et qu’on connaît hcc, déterminer l’expression de θ(x) = T(x) - TF
70
À quoi faut-il faire attention si λ dépend de la température T ?
71
Déterminer T(r), connaissant TF à l’extérieur
Attention : il faut justifier, en disant bien que dEc = dEp = δW = 0
72
Qu’est-ce que la loi de Stefan ?
φS = σ.T4
73
En supposant TS = TF(1 + ε), linéariser la loi de Stefan et montrer qu’on peut définir une résistance thermique radiative
74
Exprimer Φth en fonction de Q
75
Si on a un écoulement, à quoi faut-il penser ?
Il faut faire un premier principe industriel et multiplier par Dm pour avoir Pth = φth. Les dépendances en t partent directement dans le Dm
76
À quelle condition temporelle peut-on avoir un transfert par conduction ?
Il faut avoir une échelle de temps assez grande pour que la diffusion puisse se faire
77
Si on nous donne la valeur numérique d’un j#, que sait-on déjà ? À quoi faut-il faire attention ?
C’est une condition aux limites, il ne faut donc pas faire le bilan uniquement à l’endroit du j# donné mais partout, et cette valeur nous permettra de déterminer les constantes
78
Définir le vecteur transport de particules et le flux de particules, donner leurs unités
79
Qu’est-ce que la loi de Fick ?
80
Donner et comparer les ordres de grandeur du coefficient de diffusion de particules dans un gaz, un liquide et un solide
81
Donner l’équation locale de conservation des particules
82
Qu’est-ce que l’équation de diffusion de particules ? Justif
83
En quoi est-ce analogue à la diffusion thermique ?
84
Que peut-on dire en RP sans sources sur j# ?
85
Déterminer l’expression du coefficient D de diffusion de particules dans un gaz parfait monoatomique, en fonction de l* et v*
86
Montrer que P vérifie une équation de diffusion
87
Quelles sont les conditions initiales et les conditions aux limites
88
Vérifier que les conditions aux limites et initiales sont vérifiées
89
Déterminer n*(z) à l’équilibre
90
Déterminer v∞ et en déduire kB
91
En régime permanent, déterminer n*(x)
92
Qu’appelle-t-on une solution en séparant les variables ?
f(x,t) = F(x).G(t)
93
Sans déterminer les constantes
94
En regardant (l/lC)², montrer que n* diverge en fonction de t ssi l > lC
95
Montrer qu’en régime permanent R = Rc dont on déterminera l’expression
96
En régime non permanent, en séparant les variables, déterminer l’expression de n* . Puis, en étudiant (Rc/R)², trouver à quelle condition sur R on a une divergence temporelle de n*
Avant de déterminer les constantes, il faut déterminer F et G pour pouvoir utiliser n*
97
À quoi faut-il faire attention lorsqu’on fait un bilan ?
f(r) - f(r+dr) = - ∂f/∂r × dr, il ne faut pas oublier le - !
98
99
100
On a n+ et n- les quantités d’ion par m³
101
Lorsque, pour un type de particules, on a un j# diffusif et un j# convectif, quelle relation simple a-t-on à l’équilibre ?
On a la somme des j# qui vaut 0#
102
Qu’est-ce que le modèle du corps noir ?
En gros tout est absorbé puis reémis, rien n’est réfléchi
103
Définir les différents termes, quel est leur lien ?
Les δ en valeur absolue u l’énergie volumique rayonnée
104
Déterminer uν(ν, T)
Car les δ sont en valeur absolue
105
Tracer l’allure des courbes de Planck, pour T et T’, T’ < T
106
Montrer que l’aire sous la courbe vaut φ(T)
107
Donner un ordre de grandeur de la constante de Stefan
σ ≈ 5.10-8 W.m-2.K-4
108
Qu’est-ce que la loi de Wien ? Comment la montrer ?
On la montre en dérivant φλ et en trouvant pour quel λmax elle s’annule λmax la longueur d’onde à laquelle le flux énergétique émis est maximal Pour une corps oir
109
Exprimer uν et u(T)
110
Calculer la pression de radiation
111
Quel est le but lorsqu’on fait des bilans radiatifs de la Terre (quelque soit le modèles)
Expliquer la température de surface de la Terre TT
112
Quelles sont les différentes hypothèses que l’on peut faire dans les différents modèles radiatifs de la Terre vis à vis du Soleil ?
113
Dans un modèle sans absorption par l’atmosphère et sans albédo, déterminer ce que vaudrait TT.
114
Dans un modèle sans absorption par l’atmosphère et avec albédo, déterminer ce que vaudrait TT.
115
Dans un modèle avec absorption par l’atmosphère du rayonnement terrestre mais pas du rayonnement solaire et sans albédo, déterminer ce que vaudrait TT.
116
Dans un modèle avec absorption par l’atmosphère du rayonnement terrestre mais pas du rayonnement solaire et avec albédo, déterminer ce que vaudrait TT.
117
Dans un modèle avec absorption par l’atmosphère du rayonnement terrestre mais pas du rayonnement solaire, sans albédo et avec absorption partielle du rayonnement solaire par l’atmosphère, déterminer ce que vaudrait TT.
118
Dans un modèle avec absorption par l’atmosphère du rayonnement terrestre, avec albédo et avec absorption partielle du rayonnement solaire par l’atmosphère, déterminer ce que vaudrait TT.
119
Qu’est-ce que l’albédo dans la cas de la Terre ?
C’est le coefficient de réflexion de l’atmosphère des rayons reçus du Soleil
120
Quelle est l’autre forme ? (On est en sphériques)
121
Quelle est l’unité de Φth ?
Il est en W (c’est jth en W.m-2 !)
122
Qu’appelle-t-on transfert conducto-convectif ?
C’est un transfert de chaleur qui se fait par contact direct entre un système thermodynamique solide et un fluide
123
Quelle est la méthode pour déterminer l’expression de λ (ou de D si on est en diffusion de particules) en fonction de T dans un GP monoatomique ?
**Attention à ne pas oublier le facteur d’isotropie !!** - on regarde δU l’énergie moyenne (ou δN le nombre moyen de particules) traversant une surface (S) pendant dt (schéma) - on sépare en δU = δU+ - δU- (ou δN = δN+ - δN- en diffusion de particules) - en diffusion thermique, c’est T (donc l’énergie thermique par particule) qui change entre le + et le - ; en diffusion de particules c’est n* - dans le cas de la diffusion thermique : δU+ = δN × Uth+ (et pareil pour U-) - on a δN = 1/6 × S × v* × dt - on fait un DL de T (ou de n* en diffusion de particules) au deuxième ordre - on divise tout par dt pour faire apparaître Φ - Φ = j × S et on utilise la loi de Fourrier (ou la loi de Fick) - on remplace v*(T) par son expression
124
Faire un récapitulatif de ce qu’il faut savoir faire sur l’effet de cave
- expliquer le principe de l’effet de cave - déterminer ω pour des variations journalières/annuelles de température - injecter _T_(z,t) = T0 + _θ_(z,t) dans l’équation de diffusion - en déduire l’équation de dispersion - en déduire que _k_ = +- (1-i)/δ, avec δ = … - déterminer l’expression de _θ_(z,t) car il n’y a pas d’onde retour - commenter cette expression en elle-même (amortissement de l’amplitude des variations + décalage temporel avec les variations en surface) - xommenter cette expression pour les variations journalières/annuelles (applications numériques)
125
Qu’est-ce que cela signifie ?
126
Définir jconvectif# de particules
jconvectif# = n* × v#(*macroscopique*) (cf. j# = ρ × v#(*macroscopique*))
127
Quelle est la méthode pour montrer que dans un milieu fissible il faut l=lC (ou R=RC) pour être en régime permanent et que n*(t) diverge si l>lC (ou R>RC) ?
1. Régime permanent : - Équation de diffusion avec source en régime permanent - Pour une sphère (pour R) : utilisation de l’autre expression de la divergence en sphériques - Équation différentielle sur n* (ou f(r) = r×n*) avec δc = … - Expression de n* avec la condition aux limites n*(0) = 0 (ou n* borné au voisinage de 0) - Condition aux limites en l (ou R) + pas d’autres annulations : l = lC = π.δC (ou = RC = R) 2. Cas général : - Équation de diffusion avec source hors régime permanent - Pour une sphère (pour R) : utilisation de l’autre expression de la divergence en sphériques - Chercher une solution à variables séparées n*(M,t) = F(M).G(t) (ou f(r) = r×n* = …) - Rapports des termes en M, des termes en t ⇒ = cste = 1/τ (>0 ou <0) - G(t) = …, qui diverge ssi τ>0 - Équation différentielle sur F(M) avec δ - Justifier que +1/δ² en étudiant les différents cas avec les conditions aux limites - Expression de F(M) en utilisant la condition aux limites F(0) = 0 (ou n* borné au voisinage de 0) - Condition aux limites F(l) = 0 (ou F(R) = 0) + s’annule nul part ailleurs : l = π.δ (ou = R) 3. Conclusion - (l/lC)² = (δ/δC)² = … (ou (R/RC)² = …) - donc, τ > 0 ⇔ l > lC (ou ⇔ R > RC) - donc n*(t) diverge ssi l > lC (ou R > RC)
128
Doit-on redémontrer l’équation de conservation de l’énergie thermique à chaque fois ?
Oui, on doit refaire le premier principe (=bilan de masse) à chaque fois
129
Exprimer ∂T/∂x dans le cas d’un régime permanent
Elles ne dépendent donc pas de l’espace, on passe à un simple taux d’accroissement ((TB - TA)/(xB - xA) en unidimensionnel)
130
À quoi faut-il faire attention avec la loi de Stefan ?
C’est le flux surfacique que l’on exprime, si on veut le flux total, il faut multiplier par la surface totale d’émission
131
Comment définit-on la température ?
132
Comment définit-on la puissance thermique ?
133
Comment s’appelle cette relation ?
La loi de Fourrier
134
Donner un ordre de grandeur de la conductivité thermique de l’eau
≈ 1 W.m-1.K-1
135
Dans tous les premiers principes qu’on fait, quelles sont les hypothèses qu’on fait et qu’il faut dire ?
- dEcmacro = dEpmacro = 0 - δWpression = 0 (car solide) - λ indépendant de T (c’est pas dans le premier principe mais on l’utilise presque toujours juste après)
136
Quelle est la méthode pour déterminer l’expression d’une résistance thermique ?
- on est en RP : on écrit la conservation du flux - on utilise la loi de Fourrier - on isole dT - on intègre de 1 à 2 - c’est bon
137
Comment appelle-t-on cette relation ?
La loi de Newton
138
Comment s’appelle cette relation ?
La loi de Fick
139
Qu’est-ce que la loi de Wien ?
Pour un corps noir :
140
Quelles sont conditions aux limites qu’on utilise en diffusion thermique ?
La continuité du flux thermique à chaque extrémité, qu’il soit conductif ou conducto-convectif
141
Quelles sont les différentes lois qui permettent d’exprimer le flux d’énergie selon les types de transferts ?
- conductif : Loi de Fourrier - conducto-convectif : Loi de Newton - radiatif : Loi de Stefan
142
Échangeur thermique à double flux.
143
Quand on nous demande de faire un bilan thermique, quel est la première chose a faire ?
Faire un schéma de la tranche méso avec les différents flux.
144
Comment faire un bilan (très général) de G une grandeur quelconque ?
Variations temporelles = entrant (crée) - sortant (absorbée)
145
C’est quoi cette lettre grecque : κ ?
Kappa
146
A quoi correspondent les différents termes ?
- Terme en z = le manteau qui est plus chaud. - Terme en exp = la radioactivité du sol (qui chauffe).
147
À quoi faut-il directement penser quand on parle de variables d’états (U, H, S…)
Leur variations ne dépend pas du chemin suivi !!
148
149
150
On donne aussi V0
151