Statique Des Fluides Flashcards

(18 cards)

1
Q

Rappeler la relation fondamentale de la statique des fluides en référentiel galiléen

A
How well did you know this?
1
Not at all
2
3
4
5
Perfectly
2
Q

Que représente - grad#(P) ?

A

C’est un équivalent volumique mathématique des forces volumiques de pression (qui sont surfaciques)

How well did you know this?
1
Not at all
2
3
4
5
Perfectly
3
Q

Exprimer m*

A
How well did you know this?
1
Not at all
2
3
4
5
Perfectly
4
Q
A
How well did you know this?
1
Not at all
2
3
4
5
Perfectly
5
Q

Quelles sont les deux équations que l’on peut toujours récupérer ?

A
  • Gauss gravitationnel
  • Relation fondamentale de la statique des fluides
How well did you know this?
1
Not at all
2
3
4
5
Perfectly
6
Q

Que donne la relation fondamentale de la statique des fluides ?

A
How well did you know this?
1
Not at all
2
3
4
5
Perfectly
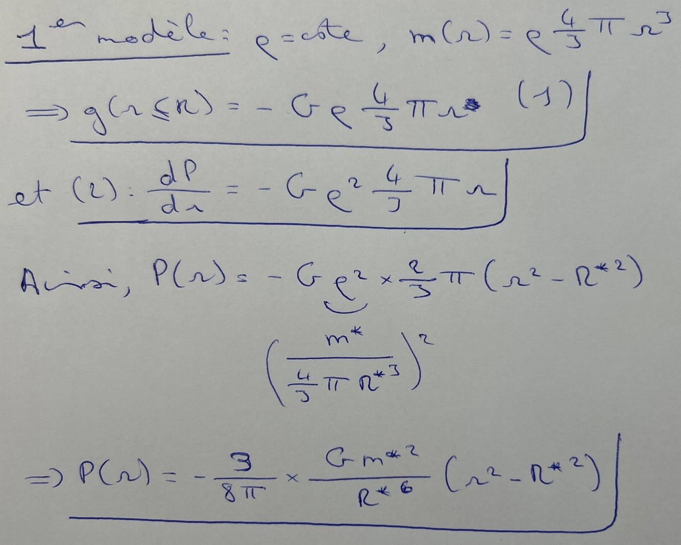
7
Q

Dans un modèle ρ = cste, déterminer P(r) en fonction de r, G, m* et R*

A
How well did you know this?
1
Not at all
2
3
4
5
Perfectly
8
Q

Dans un modèle P(r) = C.ρ(r)², déterminer l’équation différentielle sur r×ρ(r) en fonction de G et C

A
How well did you know this?
1
Not at all
2
3
4
5
Perfectly
9
Q

Calculer Eg (énergie potentielle gravitationnelle) et U (énergie cinétique microscopique) en supposant que le fluide est un gaz parfait monoatomique, en fonction de P(r)

A
How well did you know this?
1
Not at all
2
3
4
5
Perfectly
10
Q

Calculer <P>, la pression moyenne dans une section droite, en fonction de μ0, j et R

A
How well did you know this?
1
Not at all
2
3
4
5
Perfectly
11
Q

Comment appliquer la relation fondamentale de la statique des fluides en référentiel non galiléen ?

A
How well did you know this?
1
Not at all
2
3
4
5
Perfectly
12
Q

Préciser l’expression de fv;i,e# dans le cas d’un référentiel en translation ou en rotation uniforme

A
How well did you know this?
1
Not at all
2
3
4
5
Perfectly
13
Q

Lorsque l’on est dans un référentiel en rotation par rapport à un axe fixe, dans quel cas peut-on exprimer fv;i,e# comme un gradient ? Quelle est alors cette expression ?

A
How well did you know this?
1
Not at all
2
3
4
5
Perfectly
14
Q

Montrer que le fluide mis en mouvement prend cette forme à l’équilibre relatif et déterminer α

A
How well did you know this?
1
Not at all
2
3
4
5
Perfectly
15
Q

On met le tout en mouvement à ω = cste.

Déterminer l’équation z(r) définissant la surface du liquide à l’équilibre relatif, en fonction de ω, r, g et h = zéq(r = 0)

A
How well did you know this?
1
Not at all
2
3
4
5
Perfectly
16
Q

Déterminer h et en déduire pour quelles valeurs de ω il reste de l’eau au centre

17
Q

Comment arriver au même résultat beaucoup plus simplement ?

18
Q

Comment remontrer P = P0 × exp(-z/H) pour un modèle d’atmosphère isotherme ?

A
  • relation fondamentale de la statique des fluides
  • loi des gazs parfaits (T ne dépend pas de z dans ce modèle donc on peut intégrer)