Dynamique Des Fluides Parfaits Flashcards

(67 cards)

1
Q

Qu’appelle-t-on «fluide parfait» ?

A

C’est un fluide dont on néglige toute création d’entropie (d(δS) = 0 pour toute particule) lors de l’écoulement, c’est-à-dire qu’on néglige tout phénomène diffusif :

  • on néglige la viscosité (diffusion de la quantité de mouvement) : η ≈ 0
  • on néglige la diffusion thermique
How well did you know this?
1
Not at all
2
3
4
5
Perfectly
2
Q

D’où vient la création d’entropie ?

A

Des phénomènes diffusifs

How well did you know this?
1
Not at all
2
3
4
5
Perfectly
3
Q

Montrer que ds = 0 pour un fluide parfait

A
How well did you know this?
1
Not at all
2
3
4
5
Perfectly
4
Q

Exprimer du en fonction de P, ρ et dρ pour un fluide parfait, puis montrer que l’énergie interne de chaque particule se conserve dans le cas d’un fluide incompressible

A
How well did you know this?
1
Not at all
2
3
4
5
Perfectly
5
Q

Si on fait un RFD à une particule de fluide, comment intervient la pression ?

A
How well did you know this?
1
Not at all
2
3
4
5
Perfectly
6
Q

Qu’est-ce que l’équation d’Euler ?
Justif

A

C’est juste un RFD volumique

How well did you know this?
1
Not at all
2
3
4
5
Perfectly
7
Q

Qu’est-ce que le théorème de Lagrange ?
Comment justif ?

A

Pour un fluide parfait de masse volumique constante, soumis uniquement à des forces conservatives, (mêmes hypothèses que pour les Bernoulli) un écoulement irrotationnel reste irrotationnel

Cf. chapitre précédent pour la démonstration

How well did you know this?
1
Not at all
2
3
4
5
Perfectly
8
Q

Exprimer P à l’intérieur du fluide

(Jet à l’air libre, pas dans un tuyau)

A
How well did you know this?
1
Not at all
2
3
4
5
Perfectly
9
Q

Comment est modifiée l’équation d’Euler en référentiel non galiléen ?
Dans le cas d’une rotation uniforme ?

A
How well did you know this?
1
Not at all
2
3
4
5
Perfectly
10
Q

Quelles sont les hypothèses nécessaires à tous les théorèmes de Bernoulli ?

A
  • fluide parfait (pour ne pas avoir de viscosité dans Euler)
  • que des forces conservatives (elles dérivent d’une énergie potentielle, pour pouvoir les écrire comme un grad)
  • écoulement incompressible (ρ ne dépend pas de la position, pour pouvoir le rentrer dans le grad#)
How well did you know this?
1
Not at all
2
3
4
5
Perfectly
11
Q

Qu’est-ce que Bernoulli généralisé ?
Justif

A

Attention : on n’a pas Δec + Δep + Δh = 0, alors qu’on a négligé la diffusion thermique donc Q = 0 et qu’on a pas de pièces mobiles, car on n’est pas en écoulement stationnaire, donc on ne peut pas écrire le premier principe industriel. Cependant, on voit qu’on retombe dessus en écoulement stationnaire.

(Car* pas par ailleurs…)
= cste* à la dernière ligne

  • Euler
  • Rassembler dans le grad#
  • •dl# et ∫<M1→M2>
  • dh
How well did you know this?
1
Not at all
2
3
4
5
Perfectly
12
Q

Qu’est-ce que le Bernoulli au programme ?
Sous quelles hypothèses ?
Justif

A

Par la définition du grad# (et on est sur une ligne de courant car sinon ça n’a pas de sens de dire •dl#)

C’est la démo dynamique, on peut aussi la faire énergétique en passant par le premier principe industriel, car ∂./∂t = 0

How well did you know this?
1
Not at all
2
3
4
5
Perfectly
13
Q

À quelle condition a-t-on ça en dynamique des fluides ?
Justif

A

Si on est en écoulement stationnaire :

Premier principe industriel :

  • dq = 0 car on néglige tout phénomène diffusif
  • wu = 0 car il n’y aura jamais de pièces mobiles
How well did you know this?
1
Not at all
2
3
4
5
Perfectly
14
Q

Si on n’a que l’hypothèse stationnaire, sans celle ρ constant, que devient Bernoulli ?
Commenter

A

ep ⇔ g × z

How well did you know this?
1
Not at all
2
3
4
5
Perfectly
15
Q

Que devient Bernoulli si on a ρ constant mais qu’on remplace permanent par rot#(v#) = 0# ?
Commenter lorsque en plus on a l’hypothèse stationnaire

A

ep ⇔ g × z

C’est beaucoup plus fort que le Bernoulli au programme : dans le cas irrotationnel, on peut l’appliquer au fluide tout entier, cas on n’a pas besoin de faire •dl# pour annuler le rot#(v#) ∧ v#, il est déjà nul tout seul

How well did you know this?
1
Not at all
2
3
4
5
Perfectly
16
Q

Dans un référentiel non galiléen tournant à ω constant, que devient le Bernoulli au programme ?

A
How well did you know this?
1
Not at all
2
3
4
5
Perfectly
17
Q

Quelles sont les deux interprétations énergétiques de Bernoulli ?

A
  • lien avec le théorème de l’énergie mécanique
  • lien avec le 1er principe industriel
How well did you know this?
1
Not at all
2
3
4
5
Perfectly
18
Q

Quel est le lien entre Bernoulli et le théorème de l’énergie mécanique ?

A

Donc, en appliquant le théorème de l’énergie mécanique à la particule, on retombe sur Bernoulli

How well did you know this?
1
Not at all
2
3
4
5
Perfectly
19
Q

Quel est le lien entre Bernoulli et le premier principe industriel ?

A
How well did you know this?
1
Not at all
2
3
4
5
Perfectly
20
Q

On ouvre la valve, déterminer le temps de vidange

A
How well did you know this?
1
Not at all
2
3
4
5
Perfectly
21
Q

En fonction de g, h, ω et R, sachant que ρ = cste, en se plaçant en régime quasi stationnaire (h• ≈ 0)

A

M1 «se comporte» comme M3 : l’égalité qu’on a déduite avec tout se passe comme si

(On peut aussi appliquer le crochet sur chaque ligne de courant et la valeur en sortie sera toujours la même ?)

Sinon plus simple : on applique juste à la ligne de champ qui part du centre et qui sort

How well did you know this?
1
Not at all
2
3
4
5
Perfectly
22
Q

Qu’est-ce que l’effet Venturi ?
Justif

A
How well did you know this?
1
Not at all
2
3
4
5
Perfectly
23
Q

Comparer P1 et P2

A
How well did you know this?
1
Not at all
2
3
4
5
Perfectly
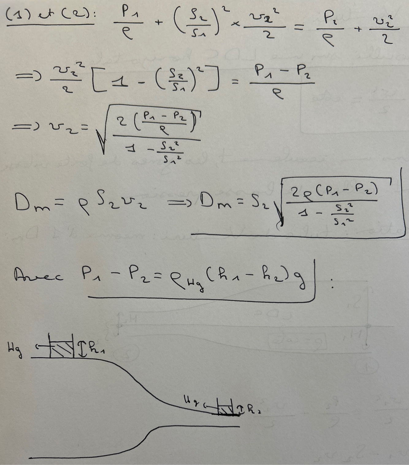
24
Q

Expliquer comment on mesure Dm

A
How well did you know this?
1
Not at all
2
3
4
5
Perfectly
25
Qu’est-ce que le détendeur de Joule-Kelvin ? Que peut-on dire de Δh et Δs ?
26
Qu’est-ce que le tube de Pitot ? Quel est son intérêt ? Justif
27
Calculer z(r) pour montrer que l’eau prends cette forme
28
Qu’est-ce que la panacée ?
Ce n’est pas la formule de Bernoulli mais celle d’Euler
29
Montrer qu’une perturbation dans un tube en U engendre des oscillations harmoniques, en utilisant Bernoulli
Bernoulli généralisé car il y a une dépendance du temps
30
Comment trouver Ec dans un tube en U qu’on a perturbé ?
v est la même partout (pas v# attention), en particulier aux extrémités où v = z•, donc c’est bon
31
Connaissant R0, comment faire ?
On cherche à déterminer R(t), sûrement par une équation différentielle sur R
32
Qu’est-ce qu’un oscillateur harmonique ?
Je t’aime Ayoub ❤️❤️
33
Trouver une équation différentielle sur R par Bernoulli
On utilise Bernoulli généralisé (à redémontrer en trois lignes en repartant de l’équation d’Euler) car il y a une dépendance temporelle Si on intègre de M1 à M∞ , il faut pouvoir exprimer toutes les vitesses en fonction de R entre ces deux points : c’est pour ça qu’on utilise la conservation du débit massique
34
Quel est le Bernoulli au programme ? Sous quelles hypothèses ? Justif
35
Comment résoudre ?
On sépare les variables (équation du premier ordre non linéaire)
36
Justifier l’existence d’un potentiel des vitesses et sa caractéristique utile
37
En cherchant le potentiel des vitesses sous la forme F(z).cos(ω.t - k.x), trouver une équation différentielle sur F
38
Pour une profondeur infinie, trouver l’expression de v#, la relation de dispersion, la vitesse de phase et la vitesse de groupe
39
Pour une profondeur finie, trouver l’expression de v# et la relation de dispersion, puis en supposant la profondeur faible, trouver la vitesse de phase et la vitesse de groupe (Sans déterminer la constante A de F(z), on mettra juste v0)
40
Trouver l’emplacement d’une particule à l’instant t, en fonction de sa position initiale
41
En appelant l la longueur du tube, exprimer la vitesse d’éjection. Comment trouver le temps de vidange ? En se plaçant en régime quasi-permanent (h• ≈ 0)
ω en dehors de la racine
42
Comment appliquer les principes que l’on connaît mais qui sont spécifiques aux systèmes fermés (RFD, théorèmes énergétiques, TMC etc…) à un système ouvert lorsqu’on est en régime permanent ?
Refaire ça appliqué au théorème en question à chaque fois, méthode : - faire un schéma représentant (Σ), (Σ *)(t), et (Σ *)(t+dt) - appliquer le théorème à (Σ *) fermé - calculer G *(t+dt) et G *(t) séparément - en déduire une expression de dG*/dt
43
Que donne un bilan de quantité de mouvement sur un système suivi dans le temps ?
44
Que donne un bilan d’énergie cinétique sur un système suivi dans le temps ?
45
Que donne un bilan d’énergie totale sur un système suivi dans le temps ?
46
Déterminer la vitesse de la fusée lorsqu’elle n’est soumise qu’au champ de pesanteur terrestre uniforme vertical, en fonction de g, t, u, m0 et Dm, si v0 = 0
Car on veut faire un RFD mais on ne peut pas sur un système ouvert
47
Si P est uniforme, que peut-on dire de son flux à travers une surface fermée ?
Sur une sphère par exemple c’est intuitif
48
Si on cherche une relation de dispersion, que doit-on chercher ?
Une équation aux dérivées partielles faisant intervenir à la fois des dérivées par rapport à t et à l’espace
49
Peut-on utiliser Bernoulli si le fluide est visqueux ? Comment faire alors dans un système ouvert ?
Non : on peut faire un bilan de quantité de mouvement, ce qui permet de ne faire intervenir que des forces extérieures et de ne pas avoir la viscosité
50
Que se passe-t-il (qualitativement) ?
51
Trouver deux équations liant ρ2, P2 et v2
ρ1.S.v1’.(v2 - v1)* Comme d’hab : conservation de la masse et bilan de p# (quand c’est pas visqueux c’est conservation de la masse et Bernoulli pcq Bernoulli c’est ce qu’on obtient en travaillant l’équation d’Euler, qui elle-même provient d’un RFD, donc d’un bilan de p#)
52
Comment justifier la conservation du débit massique pour un système où ce n’est pas évident ?
On fait un bilan de masse dans un système ouvert en écoulement stationnaire
53
Comment obtenir le bon nombre d’équation si on prend un modèle adiabatique ?
54
Qu’est-ce qu’un jet homocinétique ?
Un jet homocinétique est un jet à l’air libre où tout va à la même vitesse
55
Déterminer l’expression de v2, v1 et P1 en fonction de g, h, ρ, α et P0 (C’est un fluide parfait) 1 associé à S et 2 associé à s On néglige l’effet de la pesanteur dans toute la deuxième partie du tube
On utilise Bernoulli car le fluide est parfait, de masse volumique constante, en régime permanent
56
Déterminer l’expression de la force qui s’exerce sur le tube, en fonction de α, ρ, g, h et S
57
Montrer qu’on a une onde stationnaire dans le canal, calculer sa fréquence de résonance sur son mode fondamental et commenter pour la baie de Fundy où l = 250km et h = 50m. Sachant que la relation de dispersion est ω² = k × th(k.h)
_r_ = -1 car c’est de la matière, donc elle ne peut pas être absorbée ou transmise
58
Sachant que la pression est une force surfacique, comment peut-on la définir dans un volume ?
Si on mettait une surface δS, c’est le quotient de la force de pression δF qui s’exercerait sur la surface δS et de la surface δS
59
Comment raisonner dans ce chapitre ?
Conservation du Dm ssi dρ/dt = 0 (donc en particulier si ρ=cste)
60
Quelles sont les deux principales choses à retenir et à savoir utiliser dans ce chapitre ? Comment ? En système fermé
- savoir redémontrer Bernoulli généralisé en s’adaptant en fonction des hypothèses (regarder si rot#(v#) = 0#, si ρ = cste et si on est en régime stationnaire) - utiliser la conservation du débit massique (si dρ=dt)
61
Qu’appelle-t-on termes diffusif et convectif de l’équation d’Euler ?
62
À quoi faut-il penser directement si rot#(v#) = 0# ?
- il existe Φ tel que v# = grad#(Φ) - on peut faire Bernoulli partout
63
À quoi faut-il faire attention lorsqu’on se place dans un système ouvert en mouvement et qu’on écrit les différentes lois ?
Toutes les valeurs que l’on lie sont les valeurs dans le référentiel qui suit le mouvement : par exemple si on écrit la conservation du débit massique dans ce système, on l’écrit avec v1’ et v2’ qui sont les vitesses relatives de 1 et 2
64
Si div(v#) = 0, le débit volumique se conserve d’après Green-Orstograski. Pourtant, si on fait le flux à travers une surface fermée (une sphère dans un cas sphérique par exemple), on obtient que le flux de v#, donc le débit volumique, est nul, ce qui est absurde. Où est le problème ?
Le problème vient du fait qu’on ne peut pas dire que le flux à travers toute surface fermée est nulle d’après Green-Ortsograski, car div(v#) est nul partout sauf au point émetteur, qu’on ne peut donc pas inclure dans le volume. C’est pour ça qu’on fait un flux à travers une surface fermée entre r et r+dr, qui ne contient pas la source… Faire sur le tout revient à dire que pour chaque surface on a la même contribution du point émetteur (puisque quel que soit le volume que l’on rajoute on y aura div(v#) = 0 donc il ne contribuera pas), donc on a bien que le débit est constant, mais pas nul ! Il n’est nul que si le point émetteur est tel que div(v#) = 0, donc s’il n’émet pas, c’est-à-dire s’il ne se passe rien, ce qui est logique
65
Quelles sont les trois questions à se poser lorsqu’on applique un théorème à un système fluide ?
- est-ce que le référentiel est galiléen ? - est-ce que le système est ouvert ? - est-ce qu’il est visqueux ?
66
En temps normal on utilise toujours la conservation du débit massique et l’équation de Bernoulli. Comment fait-on en système ouvert ?
- conservation du débit massique : bilan de masse - Bernoulli : bilan de p# (ou de σ#) (Bernoulli découle d’un RFD)
67
Pourquoi a-t-on besoin d’avoir un fluide parfait pour faire Bernoulli ?
Car on part de l’équation d’Euler qui n’est vraie que pour un fluide dont on néglige la viscosité. Si le fluide n’était pas parfait, il faudrait alors partir de l’équation de Navier-Stokes et on n’obtiendrait pas Bernoulli.