Mécanique Quantique Flashcards

(78 cards)

1
Q

Quels sont les critères d’étude d’un système physique en mécanique quantique ?

A
How well did you know this?
1
Not at all
2
3
4
5
Perfectly
2
Q

Justifier qu’on doive mener une étude quantique pour un électron dans un métal

A
How well did you know this?
1
Not at all
2
3
4
5
Perfectly
3
Q

Justifier qu’une étude classique suffit pour le déplacement d’un homme

A
How well did you know this?
1
Not at all
2
3
4
5
Perfectly
4
Q

Justifier qu’une étude classique suffit pour un pendule simple

A
How well did you know this?
1
Not at all
2
3
4
5
Perfectly
5
Q

Donner un ordre de grandeur de h\

A
How well did you know this?
1
Not at all
2
3
4
5
Perfectly
6
Q

Justifier qu’une étude classique suffit à étudier la chute d’une hauteur H d’un homme, mais pas pour celle d’un électron

A
How well did you know this?
1
Not at all
2
3
4
5
Perfectly
7
Q

Qu’appelle-t-on la dualité onde/corpuscule ?

A

Onde (k#, ω) ⇔ Particule (p#, E)

Avec les deux relations :

How well did you know this?
1
Not at all
2
3
4
5
Perfectly
8
Q

Définir l’incertitude quantique

A
How well did you know this?
1
Not at all
2
3
4
5
Perfectly
9
Q

Quels sont les principes d’incertitude de Heisenberg

A

Le premier s’écrit dans toutes les directions

How well did you know this?
1
Not at all
2
3
4
5
Perfectly
10
Q

Définir la fonction d’onde d’une particule quantique de manière générale

A
How well did you know this?
1
Not at all
2
3
4
5
Perfectly
11
Q

Qu’appelle-t-on la normalisation de la fonction d’onde d’une particule quantique de manière générale ?

A
How well did you know this?
1
Not at all
2
3
4
5
Perfectly
12
Q

Définir la fonction d’onde dans le cas unidimensionnel

A
How well did you know this?
1
Not at all
2
3
4
5
Perfectly
13
Q

Qu’appelle-t-on la normalisation de la fonction d’onde d’une particule quantique dans le cas unidimensionnel ?

A
How well did you know this?
1
Not at all
2
3
4
5
Perfectly
14
Q

Qu’est-ce que l’équation de Schrödinger générale ?

A
How well did you know this?
1
Not at all
2
3
4
5
Perfectly
15
Q

Qu’est-ce que l’équation de Schrödinger dans le cas unidimensionnel ?

A
How well did you know this?
1
Not at all
2
3
4
5
Perfectly
16
Q

Qu’appelle-t-on une solution stationnaire de l’équation de Schrödinger ?

A

Attention : ψ peut dépendre de t

How well did you know this?
1
Not at all
2
3
4
5
Perfectly
17
Q

Quelle est l’équation différentielle que l’on obtient sur φ(x) ?

A
How well did you know this?
1
Not at all
2
3
4
5
Perfectly
18
Q

Solution stationnaire de l’équation de Schrödinger

A
How well did you know this?
1
Not at all
2
3
4
5
Perfectly
19
Q

Expliquer l’idée générale de notre résolution de l’équation de Schrödinger en cherchant des solutions stationnaires

A
How well did you know this?
1
Not at all
2
3
4
5
Perfectly
20
Q

Quelles sont les conditions aux limites qui permettent de déterminer l’expression de la fonction d’onde lors de la résolution de l’équation de Schrödinger ?

A
How well did you know this?
1
Not at all
2
3
4
5
Perfectly
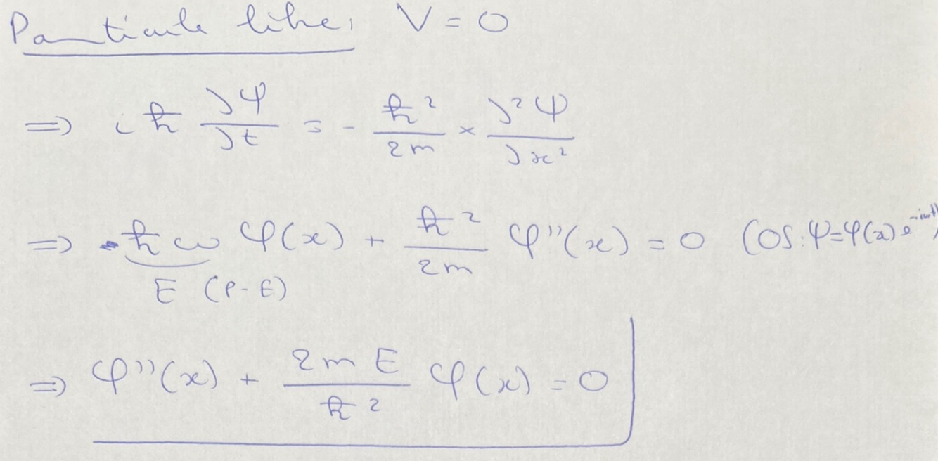
21
Q

Qu’appelle-t-on une particule libre ?

Comment s’exprime ses fonctions d’ondes stationnaires ?
Justif

A

Car on a la convention e-i.ω.t, donc un - sort lorsqu’on dérive par rapport au temps

How well did you know this?
1
Not at all
2
3
4
5
Perfectly
22
Q

Commenter

A
How well did you know this?
1
Not at all
2
3
4
5
Perfectly
23
Q

Si on modélise une particule libre par un paquet d’onde, quelle est la relation de dispersion associée à cette onde ?
Justif

A

On a, si on ne remplace pas h.ω par E, pour tout ω, k²(ω) = 2.m.ω/(h\)

(Pour tout ω du spectre)

How well did you know this?
1
Not at all
2
3
4
5
Perfectly
24
Q

Montrer que si on modélise un quanton libre par un paquet d’onde, le déplacement du quanton (et donc de son énergie) se fait bien à la même vitesse que le déplacement d’énergie de l’onde associée.

A
How well did you know this?
1
Not at all
2
3
4
5
Perfectly
25
Montrer qu’une onde plane progressive n’a pas de réalité physique à l’aide du principe de Heisenberg.
26
Que représente un puit infini de potentiel ? Déterminer l’expression de la fonction d’onde du n-ième mode propre stationnaire de densité linéique de probabilité de présence dans un puit infini de dimension a.
Il représente le confinement d’un objet dans une section de l’espace : le cout énergétique pour en sortir ne peut être payé
27
Montrer et détailler la quantification de l’énergie dans un puit de potentiel infini de largeur a
sin(p.π.x/a)* π² dans le E1* On sait que Ep = h\ × ωp et kp = (p.π/a), mais on ne peut pas dire ωp = kp × c ! Si on veut passer de ω à k ou inversement, il faut utiliser l’équation de dispersion, ici : k² = 2.m/(h\)² × ωp
28
En quoi la quantification de l’énergie dans un puit de potentiel infini n’est-elle pas observée en mécanique classique ?
29
Comment généraliser l’aspect énergétique du puit de potentiel ?
30
Retrouver En dans un puit de potentiel infini, par analogie avec la corde
31
Tracer la densité linéique de probabilité associée aux modes propres 1 et 2 dans un puit de potentiel infini
32
Montrer que si on confine une bille en acier sur une longueur de 1m, une étude classique suffit
33
Retrouver l’ordre de grandeur de l’énergie électrostatique d’un électron dans un atome
34
Qu’appelle-t-on interaction forte ? Trouver son ordre de grandeur.
35
Calculer la position moyenne d’un objet placé dans un puit de potentiel infini de dimension a, selon le mode propre n de densité linéique de probabilité de présence
36
Quelle est la fréquence minimale que doit posséder un photon pour donner lieu à une transition énergétique d’une particule dans un puit de potentiel de dimension a ? Justif
37
Quel est l’ordre de grandeur de l’angle de diffraction d’une particule quantique ? Justif
sin(θ) de l’ordre de λ/a
38
Comment retrouver l’ordre de grandeur des énergies quantifiées dans un puits de potentiel de dimension a grâce à Heisenberg ?
39
Qu’appelle-t-on un puits de potentiel semi-infini ? Quel phénomène modélise-t-il bien ?
40
Pour un puit de potentiel semi-infini, montrer que si la particule possède une énergie supérieure à V0 elle peut évoluer selon une infinité d’états stationnaires de diffusion (non quantifiés donc)
41
Pour un puit de potentiel semi-infini, si la particule possède une énergie inférieure à V0, déterminer la forme de la fonction d’onde stationnaire dans chacun des deux domaines et donner les conditions aux limites qu’on utilise pour déterminer les constantes
42
Déterminer les solutions en passant par la cotan et le R, commenter
43
Déterminer les solutions en passant par le |sin|
44
En quoi les résultats obtenus pour le puit de potentiel semi-infini sont-ils énergiquement cohérents avec ceux du puit de potentiel semi-infini ?
45
En quoi les Xn obtenus pour le puit de potentiel semi-infini sont-ils cohérents avec ceux obtenus pour le puit de potentiel infini ?
46
En quoi un puit de potentiel semi-infini modélise-t-il bien l’interaction forte ?
47
Représenter l’énergie potentielle d’un OH. Où lit-on l’énergie cinétique en fonction de x ? Comment modéliser un OH par un puits de potentiel en mécanique quantique ?
Car la force est de la forme k.x
48
Donner, en justifiant, la forme de la fonction d’onde dans les domaines I, II et III
k0 dans les cos et sin à la dernière ligne*
49
Pour un puit de potentiel fini entre -a et a, chercher les solutions paires
On a A1=A3…
50
Pour un puit de potentiel fini entre -a et a, chercher les solutions impaires (C’est des k0 à la dernière ligne)
51
Pourquoi une OPPH n’a-t-elle pas de réalité physique (en dehors du fait que déjà une OPP n’ait pas de réalité physique)
- parce qu’elle a une durée infinie - parce que :
52
Quelle situation est bien modélisée par un double puit fini ? Quel est son analogue en mécanique classique ?
53
Qu’est-ce que la molécule de NH3 a de particulier en mécanique quantique
La molécule NH3 va pouvoir osciller de « droite à gauche » (« se retourner comme un parapluie ») par effet Tunnel
54
Qu’appelle-t-on l’effet Tunnel ?
C’est le franchissement d’une barrière de valeur V0 par un quanton d’énergie E < V0 (effet typiquement quantique)
55
Quelles sont les applications de l’effet Tunnel ?
- retournement de la molécule NH3 - radioactivité α (émissions de He(2+)) - effet Josephson (passage d’une électron d’un supraconducteur à un autre à travers un isolant) - microscope à effet tunnel (lorsque la lame approche assez près de la surface à explorer, un électron est transmis et une intensité en résulte, on s’arrange pour que cette intensité reste constante, donc que la distance reste constante, et on a la forme de la surface)
56
Comment exprime-t-on une solution de l’équation de Schrödinger de manière générale ?
57
Comment exprimer de manière générale |ψ|² si ψ décrit la superposition de deux états stationnaires d’énergies n et p ? Commenter Si φn × φp* = A.ei.θ
Les constantes de la combinaison linéaire rentre dans les φ. La constante près est celle de la normalisation
58
Tracer |ψ|² si ψ décrit la superposition de deux états stationnaires d’énergies n et p, selon t et à x fixé
Et la valeur moyenne est la somme des modules au carré
59
Tracer |ψ|² si ψ est la superposition des deux premiers états stationnaires du puits de potentiel infini, en fonction de x et à t fixé
60
Tracer |ψ|² en fonction de x si ψ est la superposition du premier état stationnaire pair du double puit et du premier état stationnaire impair, commenter
61
Montrer que le rayon de Bohr correspond au maximum de probabilité radiale de présence.
On est re en tridimensionnel : φ est en m-3/2
62
Montrer la normalisation
On fait juste une double IPP
63
Montrer que les seules solutions stationnaires possibles dans le puits de potentiel fini sont les solutions paires ou impaires ?
64
Définir le vecteur transport de probabilité de présence
65
Quelle est l’unité du vecteur transport de probabilité de présence dans le cas unidimensionnel ?
66
Quel est le principe de la marche de potentiel ?
67
Déterminer les formes de φI(x) et φII(x)
68
Définir r et t, les exprimer en fonction de k1 et k2, puis exprimer |φI|² et |φII|² en fonction de r, A1 et k1
69
Définir les coefficients de réflexion et de transmission en énergie R et T et déterminer leur expression en fonction de k1 et k2. Commenter
70
Donner les expressions de k0 et k et déterminer les formes de solution de φI, φII et φIII
71
Pour l’effet tunnel : Écrire les 4 relations qu’on a
72
Comment exprimer de manière générale |ψ|² si ψ décrit la superposition de deux états stationnaires d’énergies n et p (avec φn.φp* = A.ei.θ ? Justif Tracer à x fixé
73
Quelle est la méthode générale pour effectuer la résolution de l’équation de Schrödinger de manière générale ? Lorsqu’on cherche des fonctions stationnaires avec V(x,t) continu par morceaux
74
Comment relier E à p ?
Ec = p²/2.m et E = Ec + V
75
Comment déterminer simplement l’incertitude sur une grandeur par rapport à celle sur une autre si on dispose d’une relation entre les deux ? Par exemple ΔλDB si on connait Δν ?
On utilise les relations d’incertitude classiques (qui sont juste des différentielles logarithmiques)
76
Que représente lC = λDB²/ΔλDB ? (Δ au sens de l’incertitude quantique)
C’est la longueur de cohérence du train d’onde qui modélise la particule (on a justement introduit ça pour pouvoir lui appliquer tout ce qu’on applique aux ondes)
77
Comment faire de l’optique et de la mécanique quantique avec la dualité onde/corpuscule ?
Le but est justement de pouvoir appliquer tout ce qu’on applique en optique, on peut donc tout appliquer en considérant simplement un faisceau de longueur d’onde λDB = h/p
78
Quand peut-on dire E = p²/2.m et pourquoi ?
On a E = Ec + V Dans une région de l’espace où V = 0, on a donc E = Ec = p²/2.m