Double Integrals Flashcards

(18 cards)

1
Q

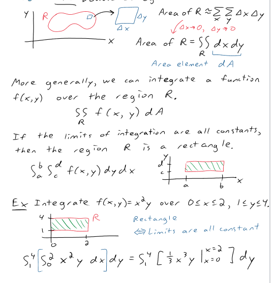
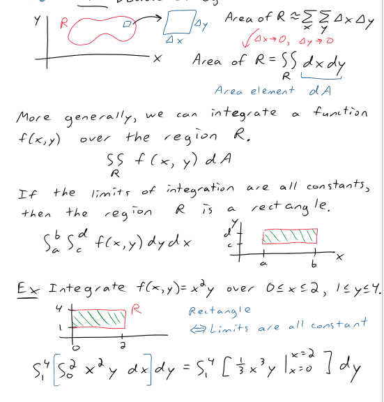
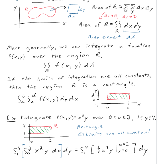
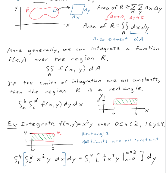
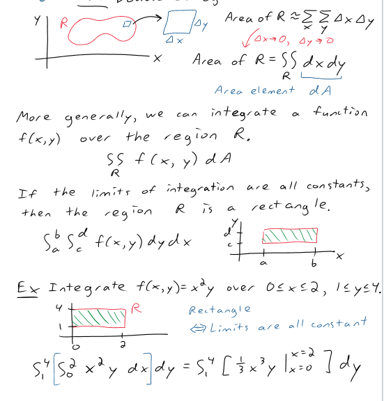
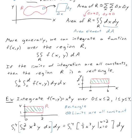
Define double integral.

A

An integral that computes the volume under a surface over a two-dimensional region.

How well did you know this?
1
Not at all
2
3
4
5
Perfectly
2
Q

What does Fubini’s Theorem state?

A

It allows the evaluation of double integrals as iterated integrals.

How well did you know this?
1
Not at all
2
3
4
5
Perfectly
3
Q

True or false: Fubini’s Theorem requires continuity of the function.

A

TRUE

The theorem holds for continuous functions over compact regions.

How well did you know this?
1
Not at all
2
3
4
5
Perfectly
4
Q

Fill in the blank: The area element dA in Cartesian coordinates is ______.

A

dx dy

How well did you know this?
1
Not at all
2
3
4
5
Perfectly
5
Q

What is the area element in polar coordinates?

A

dA = r dr dθ

How well did you know this?
1
Not at all
2
3
4
5
Perfectly
6
Q

Define polar coordinates.

A

A coordinate system where points are defined by a radius and an angle.

How well did you know this?
1
Not at all
2
3
4
5
Perfectly
7
Q

What is the relationship between Cartesian and polar coordinates?

A

x = r cos(θ)

y = r sin(θ)

Jacobian: r

How well did you know this?
1
Not at all
2
3
4
5
Perfectly
8
Q

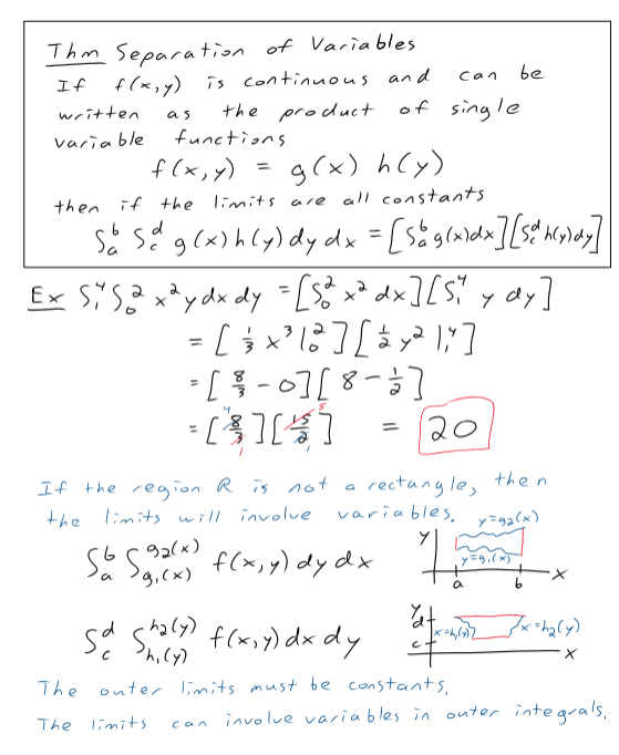
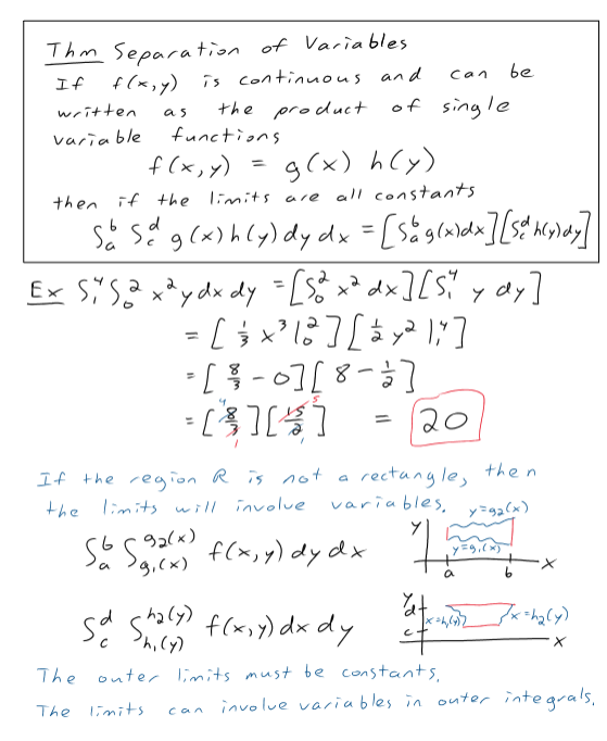
True or false: The Separation of Variables Theorem applies to partial differential equations.

A

TRUE

It simplifies solving PDEs by separating variables into independent functions.

How well did you know this?
1
Not at all
2
3
4
5
Perfectly
9
Q

Fill in the blank: The iterated integral of a function f(x,y) is written as ______.

A

∫∫ f(x,y) dy dx

How well did you know this?
1
Not at all
2
3
4
5
Perfectly
10
Q

What is the purpose of double integrals?

A

To calculate quantities like area, volume, and mass over two-dimensional regions.

How well did you know this?
1
Not at all
2
3
4
5
Perfectly
11
Q

Define iterated integral.

A

An integral computed by performing one integral at a time.

How well did you know this?
1
Not at all
2
3
4
5
Perfectly
12
Q

What is the Jacobian in polar coordinates?

A

The Jacobian is r, used for changing variables in integrals.

How well did you know this?
1
Not at all
2
3
4
5
Perfectly
13
Q

True or false: Polar coordinates are useful for circular regions.

A

TRUE

They simplify calculations involving circular symmetry.

How well did you know this?
1
Not at all
2
3
4
5
Perfectly
14
Q

What is the order of integration in double integrals?

A

The sequence in which the integrals are evaluated, usually dy dx or dx dy.

How well did you know this?
1
Not at all
2
3
4
5
Perfectly
15
Q

What does the area element dA represent?

A

It represents an infinitesimally small area in the integration process.

How well did you know this?
1
Not at all
2
3
4
5
Perfectly
16
Q

True or false: The Separation of Variables Theorem can be used for ordinary differential equations.

A

TRUE

It is commonly used for solving ODEs by separating variables.

17
Q

Fill in the blank: The limits of integration in double integrals define ______.

A

The bounds of the region of integration.

18
Q

What is a region of integration?

A

The area over which a double integral is evaluated.