Final Review Flashcards

(32 cards)

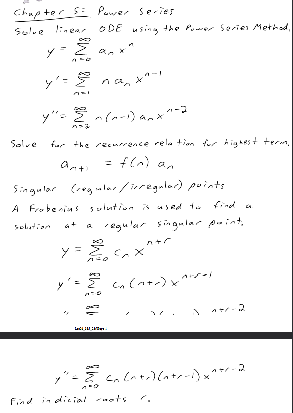
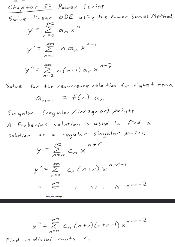
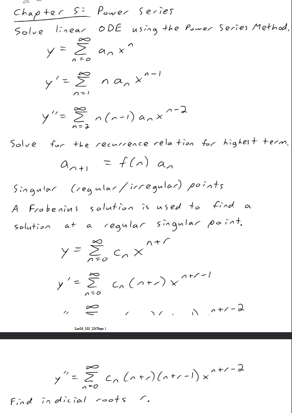
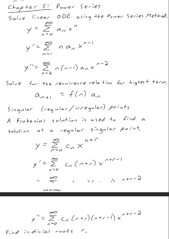
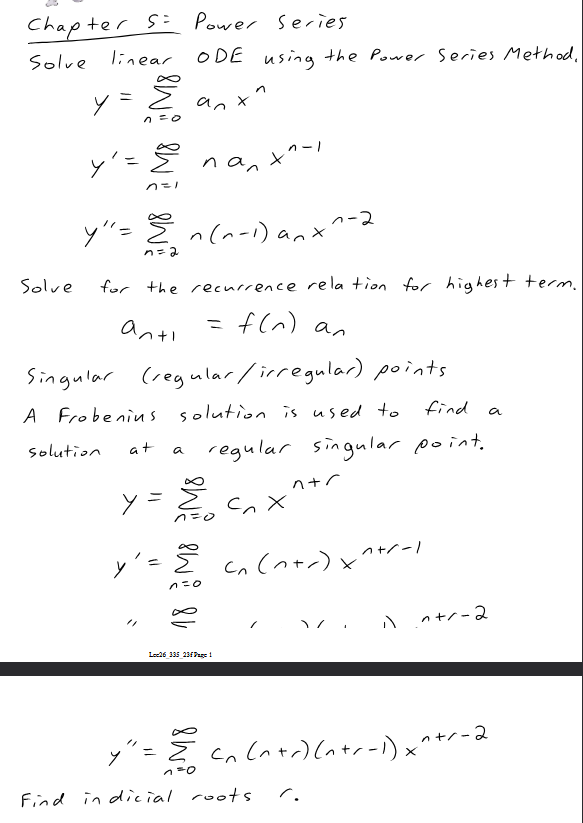
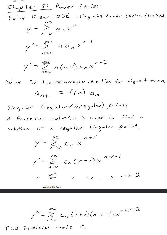
1
Q

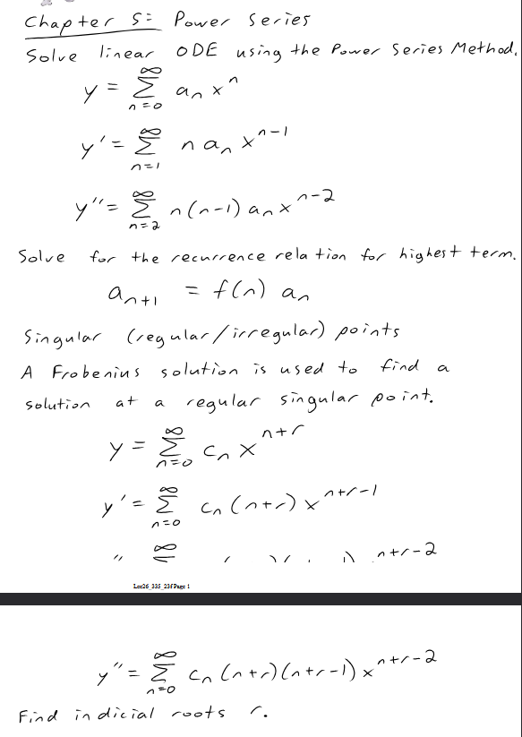
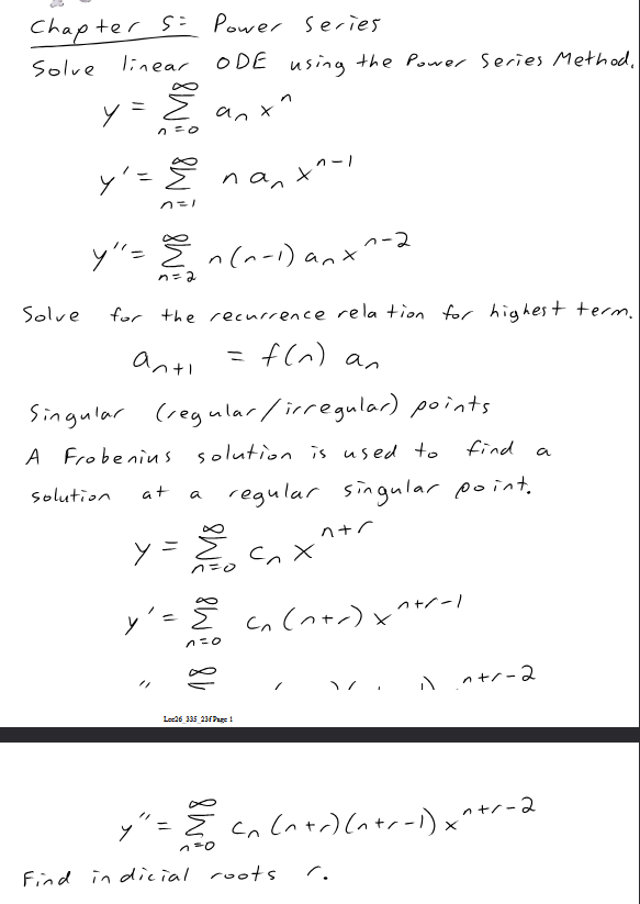
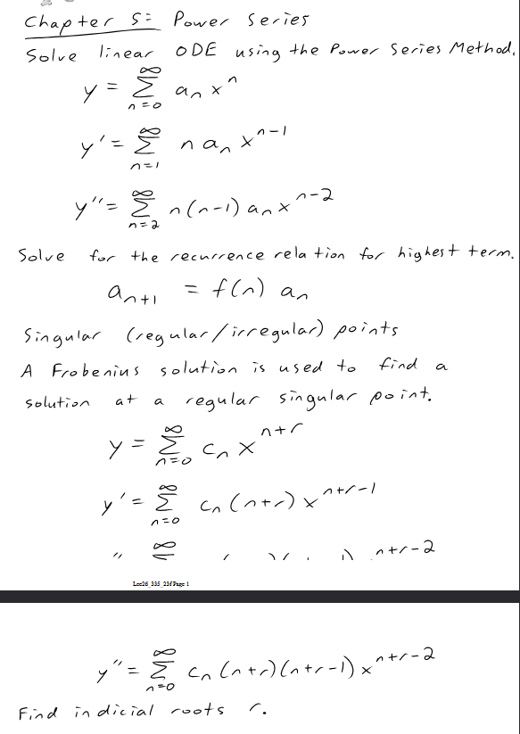
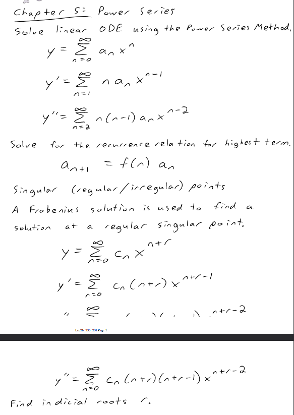
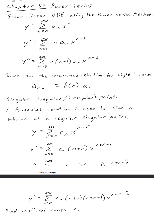
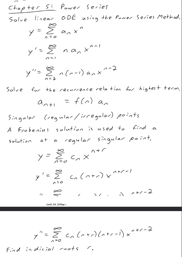
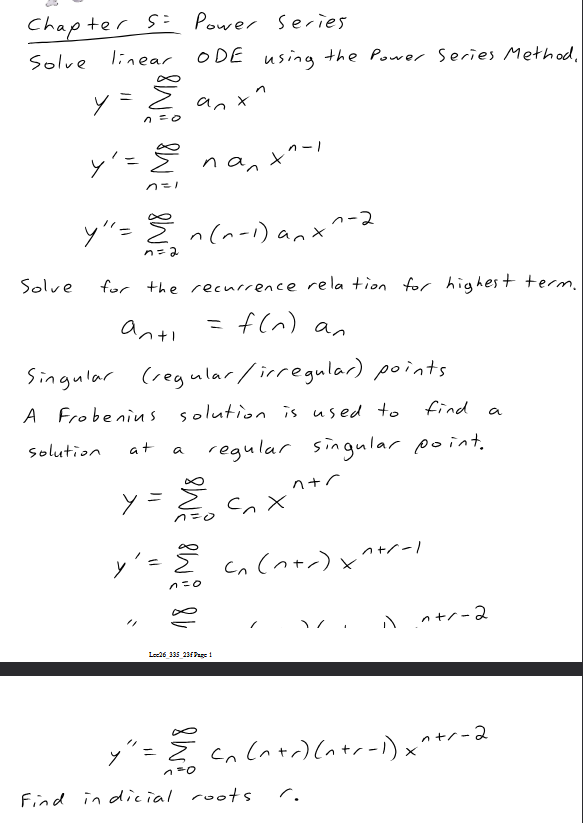
What is the main topic of Chapter 5?

A

Power Series

How well did you know this?
1
Not at all
2
3
4
5
Perfectly
2
Q

What method is used to solve linear ODE in Chapter 5?

A

Power Series Method

How well did you know this?
1
Not at all
2
3
4
5
Perfectly
3
Q

What is the assumed form of y in the power series method?

A

y = sum from n=0 to infinity a_n x^n

How well did you know this?
1
Not at all
2
3
4
5
Perfectly
4
Q

What is the expression for y’ in the power series method?

A

y’ = sum from n=1 to infinity n a_n x^{n-1}

How well did you know this?
1
Not at all
2
3
4
5
Perfectly
5
Q

What is the expression for y’’ in the power series method?

A

y’’ = sum from n=2 to infinity n(n-1) a_n x^{n-2}

How well did you know this?
1
Not at all
2
3
4
5
Perfectly
6
Q

How do you solve for the recurrence relation in the power series method?

A

Solve for the highest term

How well did you know this?
1
Not at all
2
3
4
5
Perfectly
7
Q

What is the general form of the recurrence relation?

A

a_{n+1} = f(n) a_n

How well did you know this?
1
Not at all
2
3
4
5
Perfectly
8
Q

What types of singular points are mentioned?

A

Regular or irregular

How well did you know this?
1
Not at all
2
3
4
5
Perfectly
9
Q

What is a Frobenius solution used for?

A

To find a solution at a regular singular point

How well did you know this?
1
Not at all
2
3
4
5
Perfectly
10
Q

What is the assumed form of y in the Frobenius method?

A

y = sum from n=0 to infinity c_n x^{n+r}

How well did you know this?
1
Not at all
2
3
4
5
Perfectly
11
Q

What is the expression for y’ in the Frobenius method?

A

y’ = sum from n=0 to infinity c_n (n+r) x^{n+r-1}

How well did you know this?
1
Not at all
2
3
4
5
Perfectly
12
Q

What is the expression for y’’ in the Frobenius method?

A

y’’ = sum from n=0 to infinity c_n (n+r)(n+r-1) x^{n+r-2}

How well did you know this?
1
Not at all
2
3
4
5
Perfectly
13
Q

What do you find after plugging into the ODE in the Frobenius method?

A

Indicial roots r

How well did you know this?
1
Not at all
2
3
4
5
Perfectly
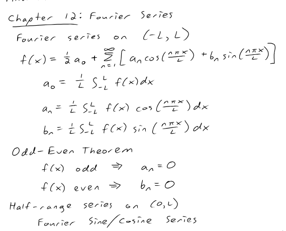
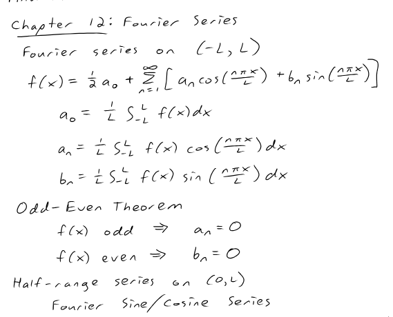
14
Q

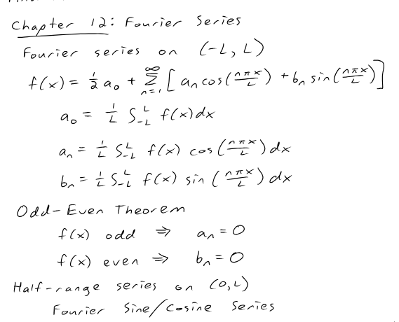
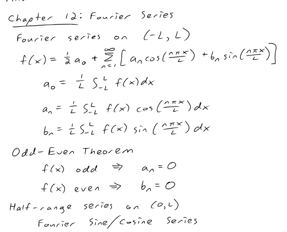
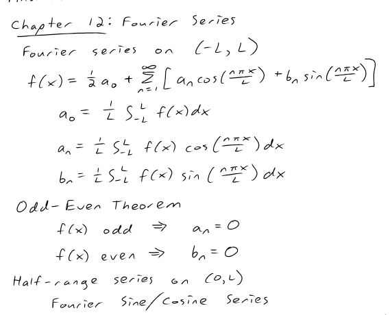
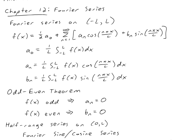
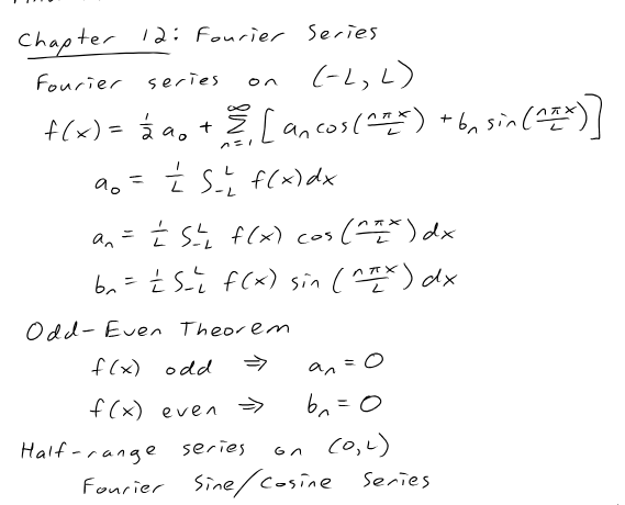
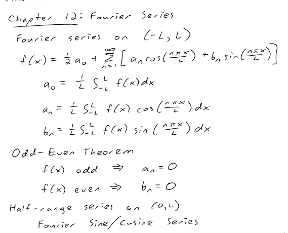
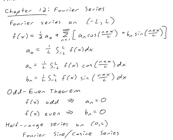
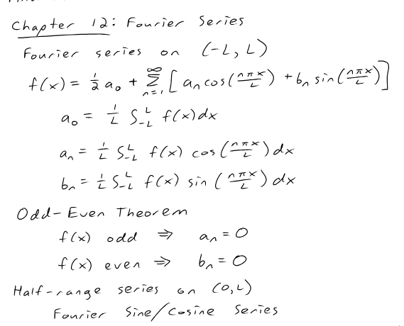
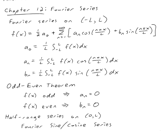
What is the main topic of Chapter 12?

A

Fourier Series

How well did you know this?
1
Not at all
2
3
4
5
Perfectly
15
Q

What is the interval for the Fourier series mentioned?

A

(-L, L)

How well did you know this?
1
Not at all
2
3
4
5
Perfectly
16
Q

What is the general form of the Fourier series on (-L, L)?

A

f(x) = (1/2) a_0 + sum from n=1 to infinity [a_n cos(n pi x / L) + b_n sin(n pi x / L)]

17
Q

What is the formula for a_0 in the Fourier series?

A

a_0 = (1/L) integral from -L to L of f(x) dx

18
Q

What is the formula for a_n in the Fourier series for n >= 1?

A

a_n = (1/L) integral from -L to L of f(x) cos(n pi x / L) dx

19
Q

What is the formula for b_n in the Fourier series?

A

b_n = (1/L) integral from -L to L of f(x) sin(n pi x / L) dx

20
Q

What is the Odd-Even Theorem?

A

For odd f(x), a_n = 0; for even f(x), b_n = 0

21
Q

If f(x) is odd, what happens to the coefficients?

22
Q

If f(x) is even, what happens to the coefficients?

23
Q

What are half-range series?

A

Series on (0, L)

24
Q

What types of half-range series are there?

A

Fourier Sine Series and Fourier Cosine Series

25
What is the main topic of Chapter 13?
Partial Differential Equations (PDEs)
26
How do you form a product solution for PDEs?
By assuming the solution is separable
27
What is the separable form for u(x,y)?
u(x,y) = v(x) w(y)
28
In separation of variables, what equation is set?
f(x) = g(y) = - lambda, where lambda is the separation constant
29
What cases are considered for the separation constant lambda?
lambda = 0, lambda < 0, lambda > 0
30
What is the Heat Equation?
u_t = k u_xx
31
What is the Wave Equation?
u_tt = a^2 u_xx
32
What is Laplace's Equation?
u_xx + u_yy = 0