Separable PDE's Flashcards

(14 cards)

1
Q

What is the primary difference between ordinary differential equations (ODEs) and partial differential equations (PDEs)?

A

ODEs involve functions of a single variable and their derivatives, while PDEs involve functions of multiple variables and their partial derivatives.

How well did you know this?
1
Not at all
2
3
4
5
Perfectly
2
Q

True or False: Hyperbolic PDEs describe wave propagation.

A

True

How well did you know this?
1
Not at all
2
3
4
5
Perfectly
3
Q

Name one characteristic of elliptic PDEs.

A

Elliptic PDEs typically describe steady-state solutions, such as potential flow.

How well did you know this?
1
Not at all
2
3
4
5
Perfectly
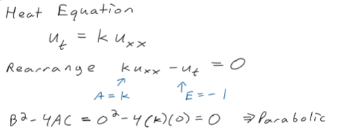
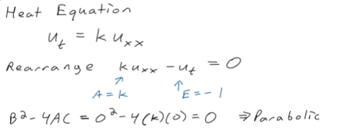
4
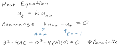
Q

Fill in the blank: The heat equation is a type of __________ PDE.

A

parabolic

How well did you know this?
1
Not at all
2
3
4
5
Perfectly
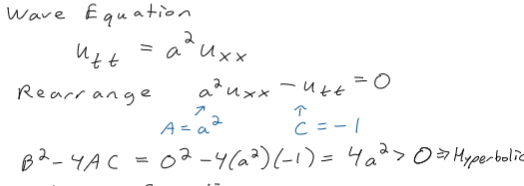
5
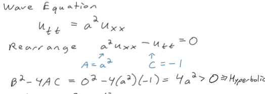
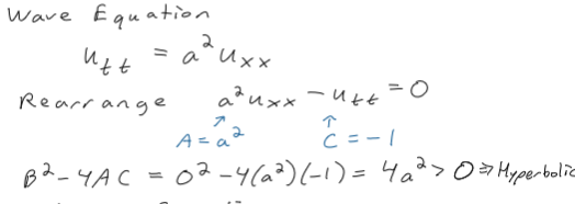
Q

Which of the following equations is an example of a hyperbolic PDE? A) Heat Equation B) Wave Equation C) Laplace’s Equation

A

B) Wave Equation

How well did you know this?
1
Not at all
2
3
4
5
Perfectly
6
Q

What is the general form of the heat equation?

A

∂u/∂t = α∇²u

How well did you know this?
1
Not at all
2
3
4
5
Perfectly
7
Q

Define a separable solution in the context of PDEs.

A

A separable solution is a solution that can be expressed as a product of functions, each depending on a single variable.

How well did you know this?
1
Not at all
2
3
4
5
Perfectly
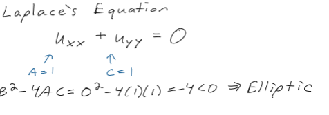
8
Q

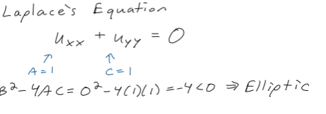
True or False: The Laplace equation is an example of an elliptic PDE.

A

True

How well did you know this?
1
Not at all
2
3
4
5
Perfectly
9
Q

What method is commonly used to solve linear PDEs with separable variables?

A

The method of separation of variables.

How well did you know this?
1
Not at all
2
3
4
5
Perfectly
10
Q

Identify the type of PDE: ‘∂²u/∂t² = c²∇²u’.

A

Hyperbolic PDE (Wave Equation)

How well did you know this?
1
Not at all
2
3
4
5
Perfectly
11
Q

Fill in the blank: The __________ equation describes the distribution of heat in a given region over time.

A

heat

How well did you know this?
1
Not at all
2
3
4
5
Perfectly
12
Q

What is the general solution form for a linear PDE using separation of variables?

A

u(x,t) = X(x)T(t)

How well did you know this?
1
Not at all
2
3
4
5
Perfectly
13
Q

What is the significance of the Laplace operator in PDEs?

A

It measures the rate at which a quantity diffuses in space.

How well did you know this?
1
Not at all
2
3
4
5
Perfectly
14
Q

Identify the equation: ‘∇²u = 0’.

A

Laplace’s Equation (Elliptic PDE)

How well did you know this?
1
Not at all
2
3
4
5
Perfectly