Gauss’s Law (differential and integral forms)
*in linear dielectric media, use permittivity of medium, not of free space

Potential and field relationship

Definition of potential difference

Potential and charge density relationship

Potential and charge relationship in empty space

Electric potential of an extended body relative to V = 0 at infinity

Gauss’s law in integral form

Electric field of a point charge

Potential of a point charge

Electric field of an infinite sheet

Parallel field boundary condition

Perpendicular field boundary condition

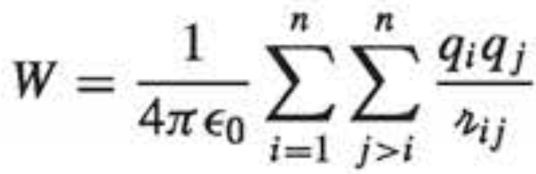
Work to assemble a collection of point charges

Work to assemble a continuous distribution of point charges, given charge density and potential

Work to assemble a continuous distribution of point charges, given field

Definition of capacitance and differential relationship

Parallel Plate Capacitance

Energy of a capacitor given charge and capacitance

Capacitor energy given capacitance and voltage

Gauss’s Law for Magnetism

Integral form of Gauss’s law for magnetism

Vector potential

Magnetic force on a moving charge

Magnetic force on a wire
