Expectation value of an observable

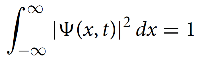
Probability of finding a particle somewhere

Hermitian operator facts

position and momentum operators

Expansion coefficient

Expectation value in a superposition of states

Definition of inner product behavior under complex conjugation of a bracket

Applying an operator to a bracket

Inner product on a function space

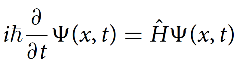
Time dependent Schrödinger equation

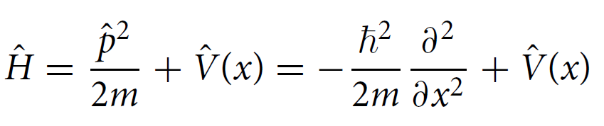
Hamiltonian operator



Commutator of the position and momentum operators

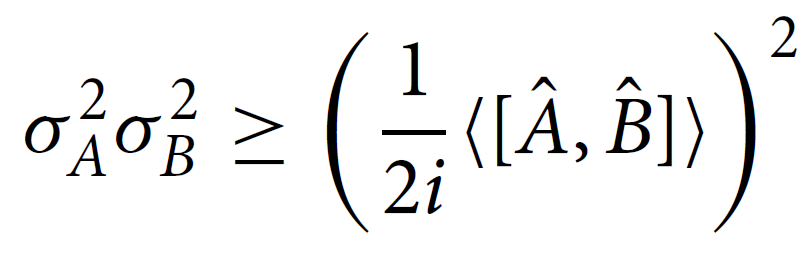
Generalized uncertainty principle

Variance

Uncertainty of position and momentum

“Folklore” uncertainty of x and p
ΔxΔp ≈ ħ
“Folklore” uncertainty of energy and time
ΔEΔt ≈ ħ
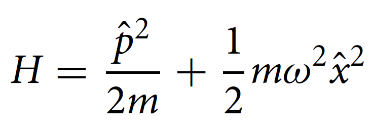
Hamiltonian for the quantum harmonic oscillator in one dimension

Hamiltonian for the quantum harmonic oscillator in one dimension in terms of raising and lowering operators

Commutation relation of the raising and lowering operators

Spectrum of the harmonic oscillator

Virial theorem

Energy of a harmonic oscillator in 3 dimensions
