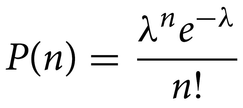
Poisson distribution

Poisson waiting time distribution

Capacitor Z
1 / (iωC)
Inductor Z
Z = iωL
Resistor Z
R
Series impedence
Ztot = Σi Zi
Parallel impedence

Max energy of photoelectrons

Solution to the differential radioactive decay equation
N=N0e-λT
λ in radioactive decay

Total lifetime relation if a substance can decay multiple ways

Best type of laser for spectroscopy over a range of visible wavelengths
Dye laser
Bremsstrahlung radiation
Electrons give up energy in the precense of an electric field by emitting a high-energy photon (usually X-ray)
Collisional gas lasers transitions
Transitions are due to collisions between atoms.
Collisional gas lasers medium
Medium is gas or gaseous mixture
Collisional gas lasers
Transitions are due to collisions between atoms
Compton scattering
A photon scatters elastically of an atomic electron, which is ejected
Compton scattering part of the energy spectrum
medium-energy photons (tens of keV)
Condition on d for getting a fringe in an interferometer
d = mλ / 2
Differential radioactive decay equation
dN/dt = - λ N
Dye laser medium
Liquid
Dye laser transitions
Related to the electron-transfer properties along chains of carbon atoms
Free electron laser medium
A collection of electrons
Free electron laser transition
Electrons are forced to accelerate back and forth in an external electric field and emit bremsstrahlung.