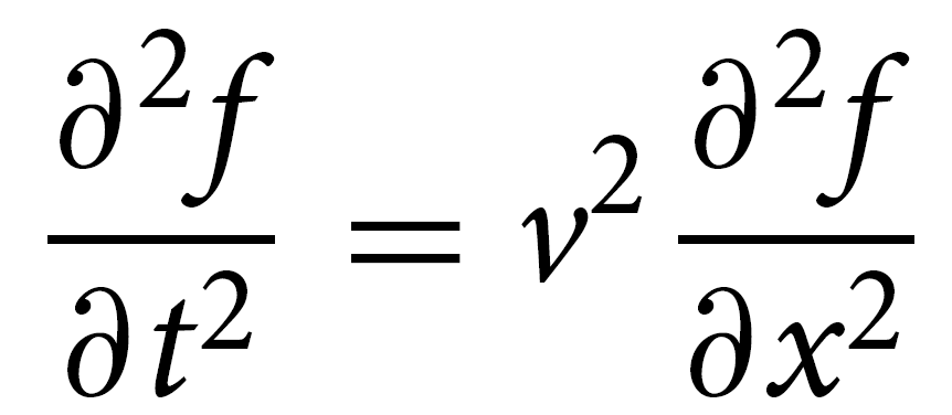
Wave equation

Wave equation solution

wave number
k = 2π/λ
Period relationship to frequency
T = 2π/ω
Angular frequency relationship to frequency
ω = 2πf
Phase velocity
ω/k
Velocity of an individual wave crest
Group velocity
dω/dk
Speed at which information is transmitted
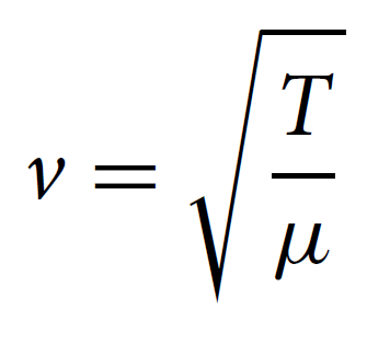
Speed of a wave in a string

angular frequency and wave number relationship to the speed of light
ω/k = c/n
Wavelength of light in a medium
λ/n
Transmitted intensity of polarized light incident on a polarizer
I=I0cos2θ
Constructive interference
δ = 2nπ
Brewster’s angle

Destructive interference
δ = (2n+1)π
Phase
δ = kΔx
Phase shift in a thin film if n2 > n1
π
Phase shift in a thin film if n2 < n1
0
Resolution, i.e. Rayleigh criterion
Dsinθ = 1.22 λ
Maxima in Bragg diffraction
dsinθ=nλ/2
Snell’s law
n1sinθ1 = n2sinθ2
Geometric optics equation

Focal length of a spherical mirror
f = R/2
Lensemaker’s equation

Regular Doppler shift
