4-momentum scalar product

t’

γ

t

x

Time dilation, Δx0=0

Time dilation

Time dilation, Δt0=0

Length contraction

Velocity addition, given information about a moving frame

Velocity addition to get information about a moving frame

Lorentz transformation matrix

4-momentum

Relativistic 3-momentum

Total energy, given speed and mass

x’

Kinetic energy given speed and mass

Invariant scalar product

Timelike spacetime interval

Spacelike spacetime interval

Spacelike spacetime interval

Lightlike spacetime interval

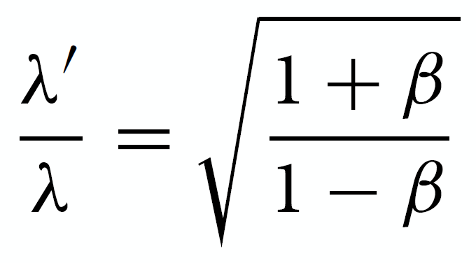
Relativistic Doppler shift

Relativistic invarient involving E and p
