Enzymes Flashcards

(2 cards)

1
Q

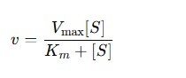
Michaelis-Menten Equation

A

v: Reaction velocity (rate of product formation).

V max: Maximum reaction velocity when all enzyme active sites are saturated.

K m: Michaelis constant, the substrate concentration at which the reaction velocity is half of 𝑉max

​Breakdown:
At low [𝑆], the equation simplifies to a linear relationship (𝑣∝S).

At high [𝑆], the reaction approaches 𝑉max, as enzymes are saturated.

How to Memorize: Think of it as a tug-of-war between the substrate concentration and Km. If S is much higher than Km, velocity approaches Vmax.

How well did you know this?
1
Not at all
2
3
4
5
Perfectly
2
Q
A

kcat tells us the “speed” of an individual enzyme molecule.

[E] tells us how many enzyme molecules are present.

Think of it as:
TotalReactionCapacity = EnzymeQuantity
× EnzymeSpeed

How well did you know this?
1
Not at all
2
3
4
5
Perfectly